电脑桌面
添加小米粒文库到电脑桌面
安装后可以在桌面快捷访问

圆锥曲线解题技巧VIP免费

圆锥曲线解题技巧_第1页
1/7
圆锥曲线解题技巧_第2页
2/7
圆锥曲线解题技巧_第3页
3/7
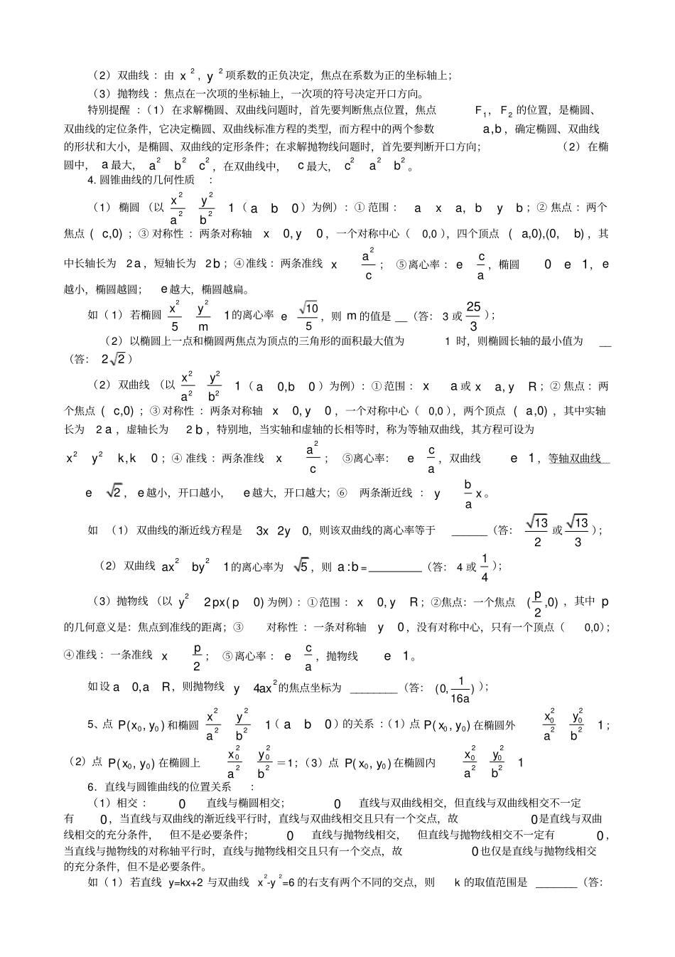
圆锥曲线 ―概念、方法、题型、及应试技巧总结1. 圆锥曲线的两个定义:(1)第一定义 中要 重视“括号” 内的限制条件 :椭圆中 ,与两个定点F 1,F 2 的距离的和等于常数2a ,且此 常数 2a 一定要大于21FF,当常数等于21FF时,轨迹是线段F 1 F 2 ,当常数小于21FF时,无轨迹;双曲线中 ,与两定点 F 1,F 2 的距离的差的绝对值等于常数2a ,且此常数 2a 一定要小于 | F 1 F 2 | ,定义中的“绝对值”与 2a<|F 1F 2 | 不可忽视 。若 2a =|F 1 F 2 | ,则轨迹是以F 1, F 2 为端点的两条射线,若2a﹥|F 1 F 2 | ,则轨迹不存在。若去掉定义中的绝对值则轨迹仅表示双曲线的一支。如( 1 ) 已 知 定 点)0,3(),0,3(21FF, 在 满 足 下 列 条 件 的 平 面 上 动 点 P 的 轨 迹 中 是 椭 圆 的 是A.421PFPFB.621PFPFC.1021PFPFD.122221PFPF(答:C);(2) 方程2222(6)(6)8xyxy表示的曲线是 _____(答:双曲线的左支)(2)第二定义 中要 注意定点和定直线是相应的焦点和准线,且“ 点点距为分子、点线距为分母”,其商即是离心率e 。圆锥曲线的第二定义,给出了圆锥曲线上的点到焦点距离与此点到相应准线距离间的关系,要善于 运用第二定义对它们进行相互转化。如已知点)0,22(Q及抛物线42xy上一动点 P(x,y) ,则 y+|PQ|的最小值是 _____(答: 2)2. 圆锥曲线的标准方程(标准方程是指中心(顶点)在原点,坐标轴为对称轴时的标准位置的方程):(1)椭圆 :焦点在 x 轴上时12222byax(0ab)cossinxayb(参数方程, 其中为参数),焦点在 y 轴上时2222bxay=1(0ab)。方程22AxByC 表示椭圆的充要条件是什么?( ABC ≠0,且 A ,B,C 同号, A ≠B)。如( 1)已知方程12322kykx表示椭圆,则k 的取值范围为 ____(答:11( 3,)(,2)22U);(2)若Ryx,,且62322yx,则yx的最大值是 ____,22yx的最小值是 ___(答:5, 2 )(2)双曲线 :焦点在x 轴上:2222byax =1 ,焦点在y 轴上:2222bxay=1(0,0ab)。方程22AxByC 表示双曲线的充要条件是什么?(ABC ≠0,且 A ,B 异号)。如(1)双曲线的离心率等于25 ,且与椭圆14922yx有公共焦点,则该双曲线的方程_______(答:2214xy);(2)设中心在坐标原点O ,焦点1F 、2F 在坐标轴上,离心率2e的双曲线 C 过点)10,4(P,则 C 的方程为 _______(答...

1、当您付费下载文档后,您只拥有了使用权限,并不意味着购买了版权,文档只能用于自身使用,不得用于其他商业用途(如 [转卖]进行直接盈利或[编辑后售卖]进行间接盈利)。
2、本站所有内容均由合作方或网友上传,本站不对文档的完整性、权威性及其观点立场正确性做任何保证或承诺!文档内容仅供研究参考,付费前请自行鉴别。
3、如文档内容存在违规,或者侵犯商业秘密、侵犯著作权等,请点击“违规举报”。

碎片内容

圆锥曲线解题技巧

爱的疯狂+ 关注
实名认证
内容提供者

该用户很懒,什么也没介绍

确认删除?
VIP
微信客服
  • 扫码咨询
会员Q群
  • 会员专属群点击这里加入QQ群
客服邮箱
回到顶部