电脑桌面
添加小米粒文库到电脑桌面
安装后可以在桌面快捷访问

完整一元一次方程提高训练VIP免费

完整一元一次方程提高训练_第1页
1/8
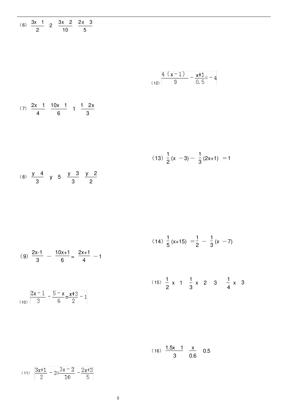
完整一元一次方程提高训练_第2页
2/8
完整一元一次方程提高训练_第3页
3/8
实用标准文档文案大全一元一次方程提高训练一.选择题1.已知关于x 的方程 2x— a— 5=0 的解是 x=— 2,则 a 的值为()A. 1 B. ﹣ 1 C. 9 D. ﹣ 9 2.小亮在解方程时,由于粗心,错把—x 看成了+x,结果解得x=— 2,求 a 的值为()A. 11 B. ﹣ 11 C.D.3.墨墨在解方程+=时,不小心用橡皮把其中的一项擦掉了,他只记得那一项是不含x 的,看答案知道这个方程的解是 x=5,那么“”处的数应该是()A. ﹣ 1 B. 1 C. 2 D. ﹣2 4.关于 x 的方程 5x— a=0 的解比关于y 的方程 3y+a=0 的解小 2,则 a 的值是()A.B.﹣C.D.﹣5.下列方程中,解为x=3 的方程是()A. B .C. D.x﹣2=﹣1 6.一元一次方程的解是()A.B. x= ﹣ 1 C. x=1 D. x= ﹣ 2 7.下列方程变形中,正确的是()A. 方程 3x﹣ 2=2x+1,移项,得3x ﹣ 2x=﹣1+2 B. 方程 3﹣x=2﹣ 5(x﹣1),去括号,得3﹣ x=2﹣5x﹣1 C.方程,未知数系数化为1,得 t=1 D.方程,化成 3x=6 8.已知( m﹣4)x|m| ﹣ 3=18 是关于 x 的一元一次方程, 则()A. m=4 B.m=﹣4 C. m=± 4 D. m=1 9.墨墨在解方程+=时,不小心用橡皮把其中的一项擦掉了,他只记得那一项是不含x 的,看答案知道这个方程的解是 x=5,那么“”处的数应该是()A.﹣ 1 B.1 C. 2 D.﹣ 2 10.如图所示, 天平右盘里放了一块砖,左盘里放了半块砖和2kg的砝码,天平两端正好平衡,那么一块砖的重量是()A. 1kg B. 2kg C. 3kg D. 4kg 11.下列变形中,错误的是()A.若 x2=5x,则 x=5 B .若﹣ 7x=7 则 x=﹣ 1 C.若,则D.若,则 ax=ay 12.下列方程,变形错误的是()A. 4x﹣ 1=5x+2→ x=﹣ 3 B. 3(x+5)﹣ 4( x﹣) =2→ 3x+15﹣4x﹣2=2 C.→6x+5﹣ 10x=92 D.→2( x+5)﹣ 3(x﹣ 3) =6 13.下列方程变形正确的是()A.由方程,得 3x﹣2x﹣2=6 B.由方程,得 3(x﹣ 1) +2x=1 C. 由方程,得 2x﹣1=3﹣ 6x+3 D.由方程,得 4x﹣ x+1=4 14、一列火车长100 米,以每秒 20 米的速度通过800 米长的隧道,从火车进入隧道起,至火车完全通过所用的时间为( ). A.50 秒 B. 40 秒 C. 45 秒 D.55 秒15、一架飞机在两城间飞行,顺风要5.5 小时,逆风要6 小时,风速为24 千米 / 时,求两城距离x 的方...

1、当您付费下载文档后,您只拥有了使用权限,并不意味着购买了版权,文档只能用于自身使用,不得用于其他商业用途(如 [转卖]进行直接盈利或[编辑后售卖]进行间接盈利)。
2、本站所有内容均由合作方或网友上传,本站不对文档的完整性、权威性及其观点立场正确性做任何保证或承诺!文档内容仅供研究参考,付费前请自行鉴别。
3、如文档内容存在违规,或者侵犯商业秘密、侵犯著作权等,请点击“违规举报”。

碎片内容

完整一元一次方程提高训练

确认删除?
VIP
微信客服
  • 扫码咨询
会员Q群
  • 会员专属群点击这里加入QQ群
客服邮箱
回到顶部