电脑桌面
添加小米粒文库到电脑桌面
安装后可以在桌面快捷访问

(江苏专用)高考数学二轮复习 专题二 不等式 第6讲 基本不等式基础滚动小练-人教版高三全册数学试题VIP免费

(江苏专用)高考数学二轮复习 专题二 不等式 第6讲 基本不等式基础滚动小练-人教版高三全册数学试题_第1页
1/4
(江苏专用)高考数学二轮复习 专题二 不等式 第6讲 基本不等式基础滚动小练-人教版高三全册数学试题_第2页
2/4
(江苏专用)高考数学二轮复习 专题二 不等式 第6讲 基本不等式基础滚动小练-人教版高三全册数学试题_第3页
3/4
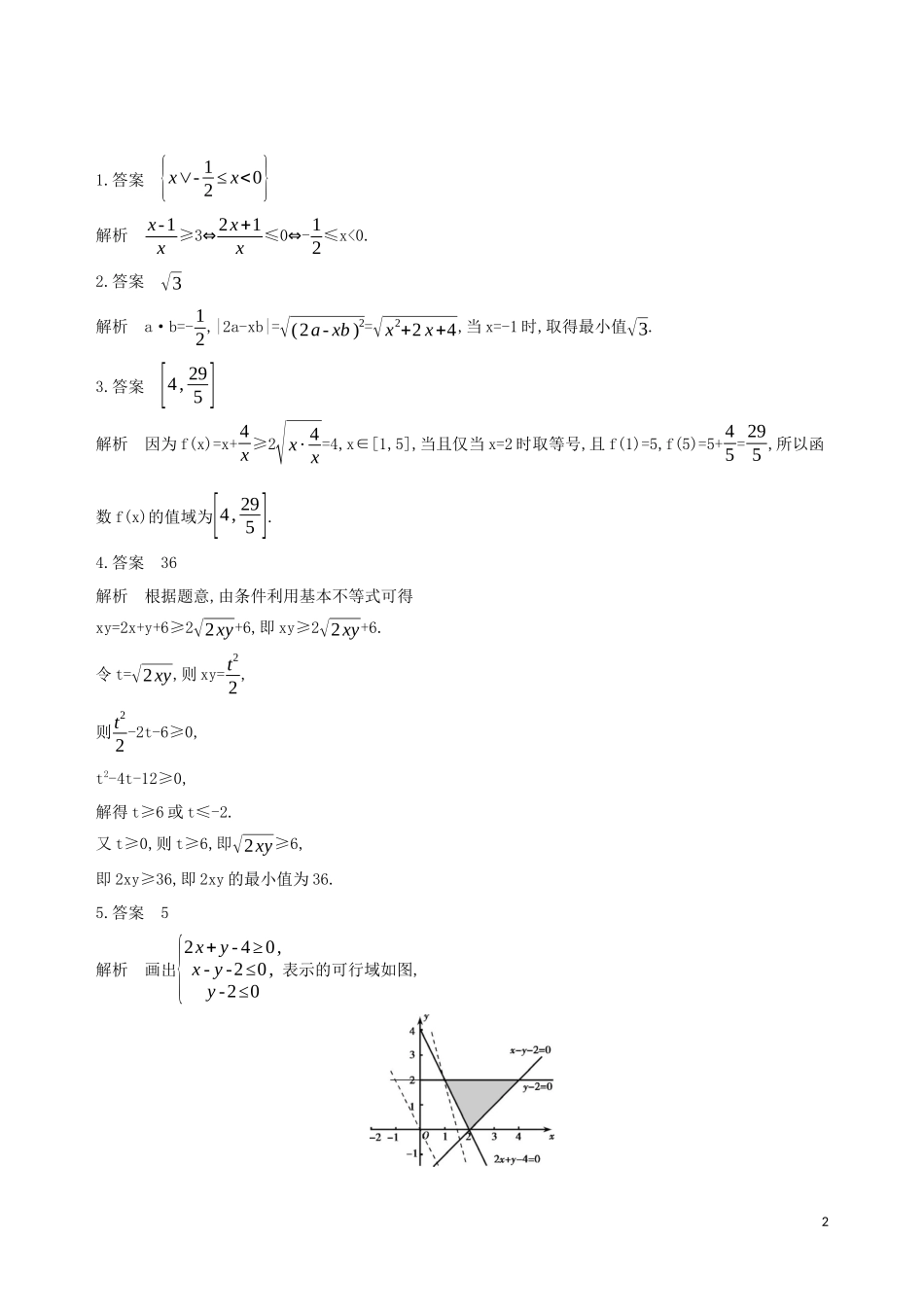
第 6 讲 基本不等式1.不等式 x-1x ≥3 的解集为 . 2.已知单位向量 a,b 的夹角为 120°,那么|2a-xb|(x∈R)的最小值是 . 3.已知函数 f(x)=x+4x ,x∈[1,5],则函数 f(x)的值域为 . 4.已知 x,y 为正实数,满足 2x+y+6=xy,则 2xy 的最小值为 . 5.设变量 x,y 满足{2x+ y - 4≥0,x - y -2≤0,y -2≤0,则 z=3x+y 的最小值为 . 6.已知 f(x)是定义在 R 上的奇函数,当 x>0 时,f(x)=x2-4x,则不等式组{x<0,f ( x )>x的解集用区间表示为 . 7.设三角形 ABC 的内角 A,B,C 的对边分别为 a,b,c,已知tan Atan B =3c- bb,则 cosA= . 8.将函数 y=2cos(2 x+ π3)的图象向右平移 φ(0<φ< π2)个单位长度后,所得函数为奇函数,则 φ= . 9.设菱形 ABCD 的对角线 AC 的长为 4,则⃗AB·⃗AC= . 10.已知向量 a=(cosα,sin2α),b=(sinα,t),α∈(0,π).(1)若 a-b=(15 ,0),求 t 的值;(2)若 t=1,a·b=1,求 tan(2α+ π4)的值.答案精解精析11.答案 {x∨- 12 ≤ x<0}解析 x-1x ≥3⇔2x+1x≤0-⇔ 12≤x<0.2.答案 √3解析 a·b=-12,|2a-xb|=√(2a- xb )2=√ x2+2 x+4,当 x=-1 时,取得最小值√3.3.答案 [4, 295 ]解析 因为 f(x)=x+4x ≥2√ x· 4x=4,x∈[1,5],当且仅当 x=2 时取等号,且 f(1)=5,f(5)=5+45 =295 ,所以函数 f(x)的值域为[4, 295 ].4.答案 36解析 根据题意,由条件利用基本不等式可得xy=2x+y+6≥2√2xy+6,即 xy≥2√2xy+6.令 t=√2xy,则 xy=t22,则t22-2t-6≥0,t2-4t-12≥0,解得 t≥6 或 t≤-2.又 t≥0,则 t≥6,即√2xy≥6,即 2xy≥36,即 2xy 的最小值为 36.5.答案 5解析 画出{2x+ y - 4≥0,x - y -2≤0,y -2≤0表示的可行域如图,2由{2x+ y - 4=0,y -2=0,得{x=1,y=2.平移直线 z=3x+y,由图知,当直线 z=3x+y 经过点(1,2)时,z 有最小值3×1+2=5.6.答案 (-5,0)解析 若 x<0,则-x>0, 当 x>0 时,f(x)=x2-4x,∴当-x>0 时,f(-x)=x2+4x.又 f(x)是定义在 R 上的奇函数,∴f(-x)=x2+4x=-f(x),即 f(x)=-x2-4x,x<0.当 x<0 时,由 f(x)=-x2-4x>x,得 x2+5x<0,解得-50,则sinAcosB+cosAsinB=sin(A+B)=sinC=3sinCcosA.又 sinC>0,则 cosA=13.8.答案...

1、当您付费下载文档后,您只拥有了使用权限,并不意味着购买了版权,文档只能用于自身使用,不得用于其他商业用途(如 [转卖]进行直接盈利或[编辑后售卖]进行间接盈利)。
2、本站所有内容均由合作方或网友上传,本站不对文档的完整性、权威性及其观点立场正确性做任何保证或承诺!文档内容仅供研究参考,付费前请自行鉴别。
3、如文档内容存在违规,或者侵犯商业秘密、侵犯著作权等,请点击“违规举报”。

碎片内容

(江苏专用)高考数学二轮复习 专题二 不等式 第6讲 基本不等式基础滚动小练-人教版高三全册数学试题

确认删除?
VIP
微信客服
  • 扫码咨询
会员Q群
  • 会员专属群点击这里加入QQ群
客服邮箱
回到顶部