电脑桌面
添加小米粒文库到电脑桌面
安装后可以在桌面快捷访问

七年级解题能力竞赛初赛VIP专享VIP免费

七年级解题能力竞赛初赛_第1页
1/4
七年级解题能力竞赛初赛_第2页
2/4
七年级解题能力竞赛初赛_第3页
3/4
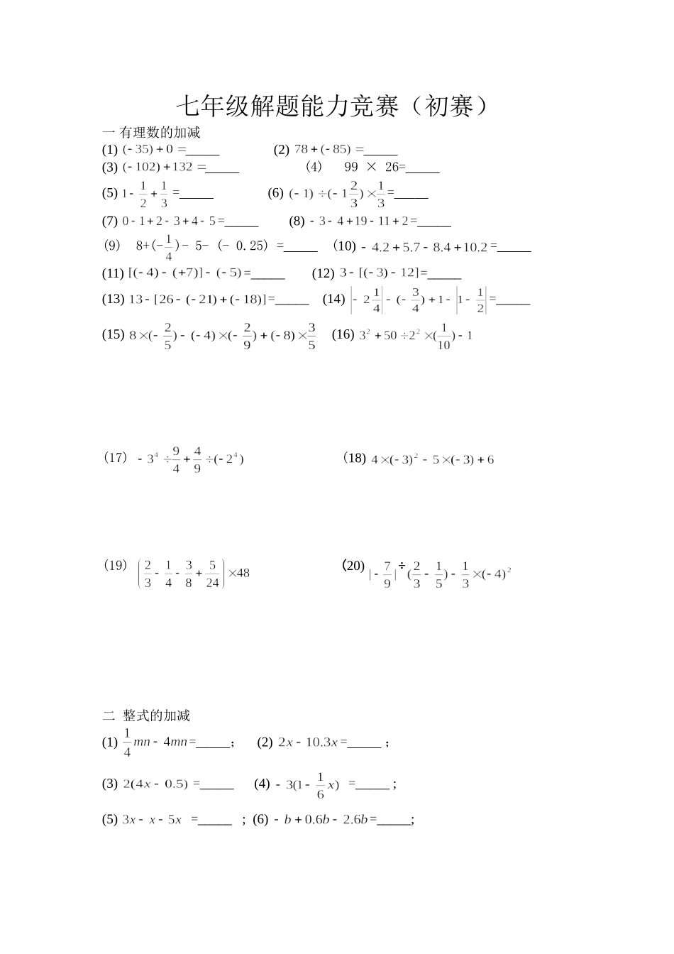
七年级解题能力竞赛(初赛)一 有理数的加减(1) _____ (2) _____(3) _____ (4) 99 × 26=_____(5) =_____ (6) =_____(7) =_____ (8) =_____(9) 8+(-)- 5- (- 0.25) =_____ (10) =_____(11) =_____ (12) =_____(13) =_____ (14) =_____(15) (16) (17) (18) (19) (20) ÷ 二 整式的加减 (1) =_____; (2) =_____ ;(3) =_____ (4) =_____ ; (5) =_____ ; (6) =_____;(7) =_____; (8) =_____ (9) =_____; (10) =_____(11) =_____; (12)=_____ (13) =_____;(14) =_____(15) 多项式 求另一个多项式(16) .化简后求值: 化简求值 其中 , (17) 已知 A=4x2-4xy+y2,B=x2+xy-5y2,求 A-3B。(18) . ,其中 a=2,b=3(19) 化简求值 其中 (20) 三 解方程 (1) (2) (3) (4) 4-3(2-x)=5x (5) =3x-1 (6) (7) (8) (9) (10)

1、当您付费下载文档后,您只拥有了使用权限,并不意味着购买了版权,文档只能用于自身使用,不得用于其他商业用途(如 [转卖]进行直接盈利或[编辑后售卖]进行间接盈利)。
2、本站所有内容均由合作方或网友上传,本站不对文档的完整性、权威性及其观点立场正确性做任何保证或承诺!文档内容仅供研究参考,付费前请自行鉴别。
3、如文档内容存在违规,或者侵犯商业秘密、侵犯著作权等,请点击“违规举报”。

碎片内容

七年级解题能力竞赛初赛

您可能关注的文档

确认删除?
VIP
微信客服
  • 扫码咨询
会员Q群
  • 会员专属群点击这里加入QQ群
客服邮箱
回到顶部