电脑桌面
添加小米粒文库到电脑桌面
安装后可以在桌面快捷访问

高三数学第一轮复习:椭圆人教版知识精讲考试卷VIP免费

高三数学第一轮复习:椭圆人教版知识精讲考试卷_第1页
1/12
高三数学第一轮复习:椭圆人教版知识精讲考试卷_第2页
2/12
高三数学第一轮复习:椭圆人教版知识精讲考试卷_第3页
3/12
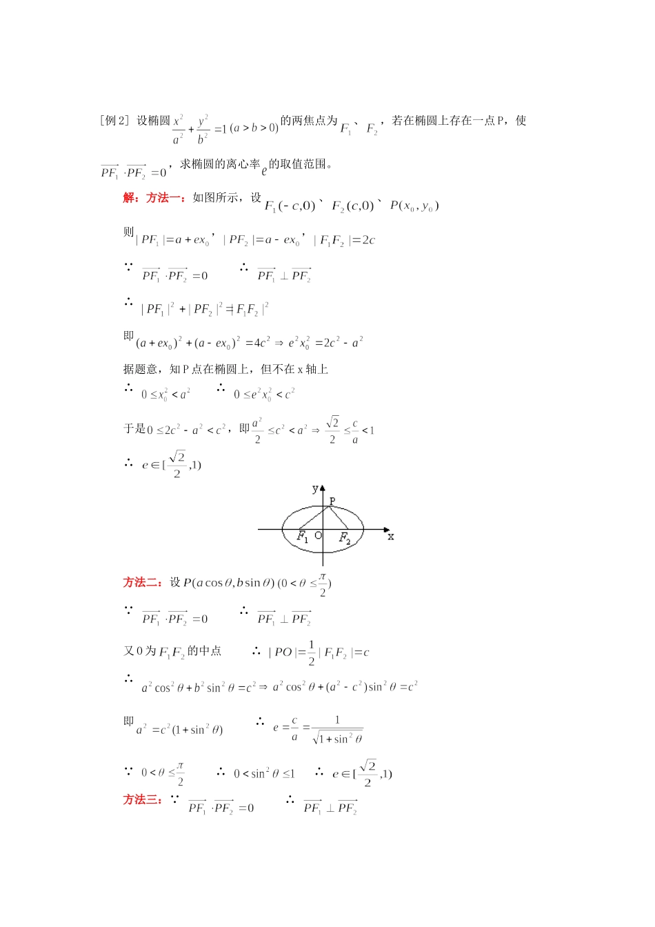
高三数学第一轮复习:椭圆人教版【本讲教育信息】一. 教学内容:椭圆二. 本周教学重难点:掌握椭圆的定义、标准方程和椭圆的简单几何性质,了解椭圆的参数方程,了解椭圆的初步应用。【典型例题】[例 1] 已知 A、B 是椭圆上的点,是右焦点且,AB 的中点 N 到左准线的距离等于,求此椭圆方程。解:如图,设为左焦点,连结、,则根据椭圆定义有 再设 A、B、N 三点到左准线距离分别为、、由梯形中位线定理,有而已知 ∴ ∴ 得离心率 ,∴ ∴ ,则椭圆方程为[例 2] 设椭圆的两焦点为、,若在椭圆上存在一点 P,使,求椭圆的离心率 的取值范围。解:方法一:如图所示,设、、则,, ∴ ∴ 即据题意,知 P 点在椭圆上,但不在 x 轴上∴ ∴ 于是,即∴ 方法二:设 ∴ 又 O 为的中点 ∴ ∴ 即 ∴ ∴ ∴ 方法三: ∴ ∴ P 点在以为直径的圆上,又 P 点在椭圆上∴ 圆与椭圆有公共点由图知,即 ∴ ∴ [例 3] 已知 A、B、D 三点不在一条直线上,且,,,,(1)求 E 点的轨迹方程;(2)过 A 作直线交以 A、B 为焦点的椭圆于 M、N 两点,线段 MN 的中点到 y 轴的距离为,且直线 MN 与 E 点的轨迹相切,求椭圆的方程。解 : ( 1 ) ∴ E 为 BD 中 点 , 设 E ( x , y ) , 则 ∴ ,即又 A、B、D 三点不共线 ∴ 故 E 点的轨迹方程为(2)依题设,直线 MN 与圆相切,设切点为 Q,坐标原点为 O,则为直角三角形。 ∴ ∴ 根据对称性,不妨设,则直线的方程为 线段 MN 的中点到 y 轴的距离为 ∴ 中点坐标为()∴ 由整理后得∴ ∴ 又 ∴ 故所求椭圆方程为[例 4] 已知常数,在矩形 ABCD 中,AB=4,BC=,O 为 AB 的中点,点 E、F、G 分别在 BC、CD、DA 上移动,且,P 为 GE 和 OF 的交点,如图,问是否存在两个定点,使 P 到这两点的距离的和为定值?若存在,求出这两点的坐标及此定值;若不存在 ,请说明理由。解:按题意有设由此有直线 OF 的方程为 ①直线 GE 的方程为 ②从①②消去参数 ,得点 P(x,y)坐标满足方程整理得当时,点 P 的轨迹为圆弧,所以不存在符合题意的两点当时,点 P 的轨迹为椭圆的一部分,点 P 到该椭圆焦点的距离的和为定长当时,点 P 到椭圆两个焦点的距离之和为定值当时,点 P 到椭圆两个焦点(0,),(0,)的距离之和为定值。[例 5...

1、当您付费下载文档后,您只拥有了使用权限,并不意味着购买了版权,文档只能用于自身使用,不得用于其他商业用途(如 [转卖]进行直接盈利或[编辑后售卖]进行间接盈利)。
2、本站所有内容均由合作方或网友上传,本站不对文档的完整性、权威性及其观点立场正确性做任何保证或承诺!文档内容仅供研究参考,付费前请自行鉴别。
3、如文档内容存在违规,或者侵犯商业秘密、侵犯著作权等,请点击“违规举报”。

碎片内容

高三数学第一轮复习:椭圆人教版知识精讲考试卷

您可能关注的文档

确认删除?
VIP
微信客服
  • 扫码咨询
会员Q群
  • 会员专属群点击这里加入QQ群
客服邮箱
回到顶部