电脑桌面
添加小米粒文库到电脑桌面
安装后可以在桌面快捷访问

高一数学拓展精练17考试卷VIP免费

高一数学拓展精练17考试卷_第1页
1/3
高一数学拓展精练17考试卷_第2页
2/3
高一数学拓展精练17考试卷_第3页
3/3
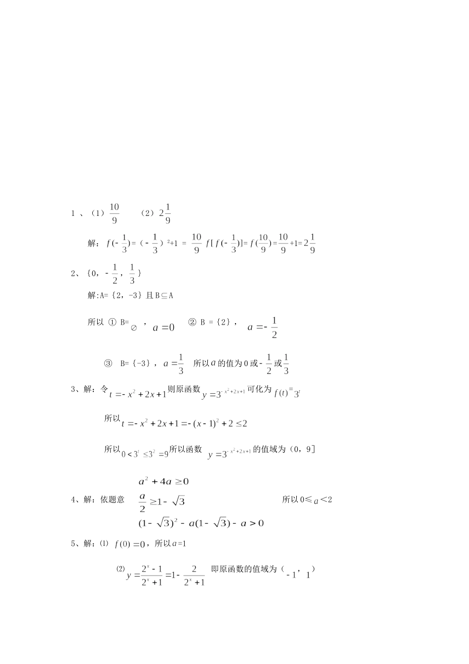
数学知识复习 拓展精练 (17)1 、已知函数= ,求,的值. 2、已知集合 A ={|},B={|},若 BA,求实数的取值范围. 3、求函数的值域. 4、若函数=的值域是 R,且在(-∞,1-)上是减函数,求实数的取值范围. 5、已知=,(∈ R)是 R 上的奇函数.(1)求的值;(2)求的反函数;(3)对任意的 k∈(0, +∞)解不等式>. 6、已知幂函数(∈N+)的图像关于 y 轴对称,且在(0,+∞)上是减函数,求满足的实数取值范围.1 、(1)(2)解:=()2+1 = ==+1=2、{0,,}解:A={2,-3}且 BA所以 ① B= , ② B ={2}, ③ B={-3}, 所以的值为 0 或或3、解:令则原函数可化为=所以所以所以函数 的值域为(0,9]4、解:依题意 所以 0≤<25、解:⑴ ,所以=1⑵ 即原函数的值域为(, )所以当时,整理得 所以 (<x<1)⑶ > 所以 所以当 k(0,2)时,解集为{x|

1、当您付费下载文档后,您只拥有了使用权限,并不意味着购买了版权,文档只能用于自身使用,不得用于其他商业用途(如 [转卖]进行直接盈利或[编辑后售卖]进行间接盈利)。
2、本站所有内容均由合作方或网友上传,本站不对文档的完整性、权威性及其观点立场正确性做任何保证或承诺!文档内容仅供研究参考,付费前请自行鉴别。
3、如文档内容存在违规,或者侵犯商业秘密、侵犯著作权等,请点击“违规举报”。

碎片内容

高一数学拓展精练17考试卷

您可能关注的文档

远洋启航书店+ 关注
实名认证
内容提供者

从事历史教学,热爱教育,高度负责。

确认删除?
微信客服
  • 扫码咨询
会员Q群
  • 会员专属群点击这里加入QQ群