电脑桌面
添加小米粒文库到电脑桌面
安装后可以在桌面快捷访问

完整版数值分析研试题答案VIP免费

完整版数值分析研试题答案_第1页
1/4
完整版数值分析研试题答案_第2页
2/4
完整版数值分析研试题答案_第3页
3/4
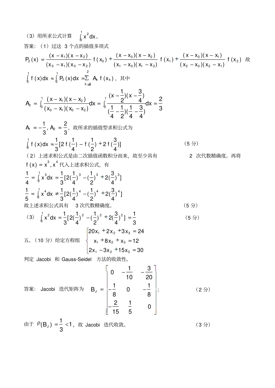
沈阳航空航天大学研究生试卷(A)2011-2012 学年 第一学期课程名称:数值分析出题人 : 王吉波审核人 : 一、填空题(本题40 分 每空 4 分)1.设),,1,0()(njxl j为节点nxxx,,,10的 n 次基函数,则)(ij xljiji,0,1。2.已知函数1)(2xxxf,则三阶差商]4,3,2,1[f= 0 。3.当 n=3 时,牛顿 - 柯特斯系数83,81)3(2)3(1)3(0CCC,则)3(3C81。4.用迭代法解线性方程组Ax=b时,迭代格式,2,1,0,)()1(kfBxxkk收敛的充分必要条件是1)(B或 B 的谱半径小于 1 。5.设矩阵1221A,则 A 的条件数2)(ACond= 3 。6. 正方形的边长约为100cm,则正方形的边长误差限不超过 0.005 cm 才能使其面积误差不超过12cm 。7. 要使求积公式)()0(41)(1110xfAfdxxf具有 2 次代数精确度,则1x2/3 ,1A3/4 。8. 用杜利特尔(Doolittle )分解法分解LUA,135945-2791260945-0451827-9189A其中,则13213012-100120001L,9000548100918-9027-9189U二、(10 分)已知由数据 (0,0 ),(0.5 ,y),(1,3 )和( 2,2)构造出的三次插值多项式)(3 xP的3x 的系数是 6,试确定数据 y。答案:利用Lagrange 插值多项式,)()()()()()()()()()(3322110033xlxfxlxfxlxfxlxfxLxP及基函数的表达式可知3x 的系数为))()(()(3020100xxxxxxxf +))()(()(3121011xxxxxxxf+))()(()(3212022xxxxxxxf+))()(()(2313033xxxxxxxf(5 分)代入有关数据得15.122)1(5.013)5.1()5.0(5.006y解得 y=4.25.(5 分)三、(15 分)试导出计算)0(1aa的 Newton 迭代格式,使公式中(对nx )既无开方,又无除法运算,并讨论其收敛性。答案:将计算)0(1aa等价化为求012xa的正根。而此时有3'22)(,1)(xxfxaxf,(5 分)故计算)0(1aa的 Newton 迭代格式为nnnnnnnnxxaxaxxxaxx)223(2232123321(5 分)迭代函数10|*)('|2323)(',1*,)223()(22xaxxaxxxax,故迭代法局部收敛。(5 分)四、(15 分)已知43,21,41210xxx。(1)推导出以这3 个点作为求积节点在[0 ,1] 上的插值型求积公式;(2)指明求积公式所具有的代数精确度;(3)用所求公式计算102dxx。答案:(1)过这 3 个点的插值多项式)())(())(()())(())(()())(())(()(2120210121012002010212xfxxxxxxxxxfxxxxxxxxxfxxxxxxxxxP故2010210)()()(kkkxfAdxxPdxxf,其中32)4341)(2141()43)(21())(())((10102010210dxxxdxxxxxxxxxA32,3121AA,故所求的插值型求积公式为)]43(2)21()41(2[31)(10fffdxxf(5 分...

1、当您付费下载文档后,您只拥有了使用权限,并不意味着购买了版权,文档只能用于自身使用,不得用于其他商业用途(如 [转卖]进行直接盈利或[编辑后售卖]进行间接盈利)。
2、本站所有内容均由合作方或网友上传,本站不对文档的完整性、权威性及其观点立场正确性做任何保证或承诺!文档内容仅供研究参考,付费前请自行鉴别。
3、如文档内容存在违规,或者侵犯商业秘密、侵犯著作权等,请点击“违规举报”。

碎片内容

完整版数值分析研试题答案

爱的疯狂+ 关注
实名认证
内容提供者

该用户很懒,什么也没介绍

确认删除?
VIP
微信客服
  • 扫码咨询
会员Q群
  • 会员专属群点击这里加入QQ群
客服邮箱
回到顶部