电脑桌面
添加小米粒文库到电脑桌面
安装后可以在桌面快捷访问

寿险精算公式汇总VIP免费

寿险精算公式汇总_第1页
1/3
寿险精算公式汇总_第2页
2/3
寿险精算公式汇总_第3页
3/3
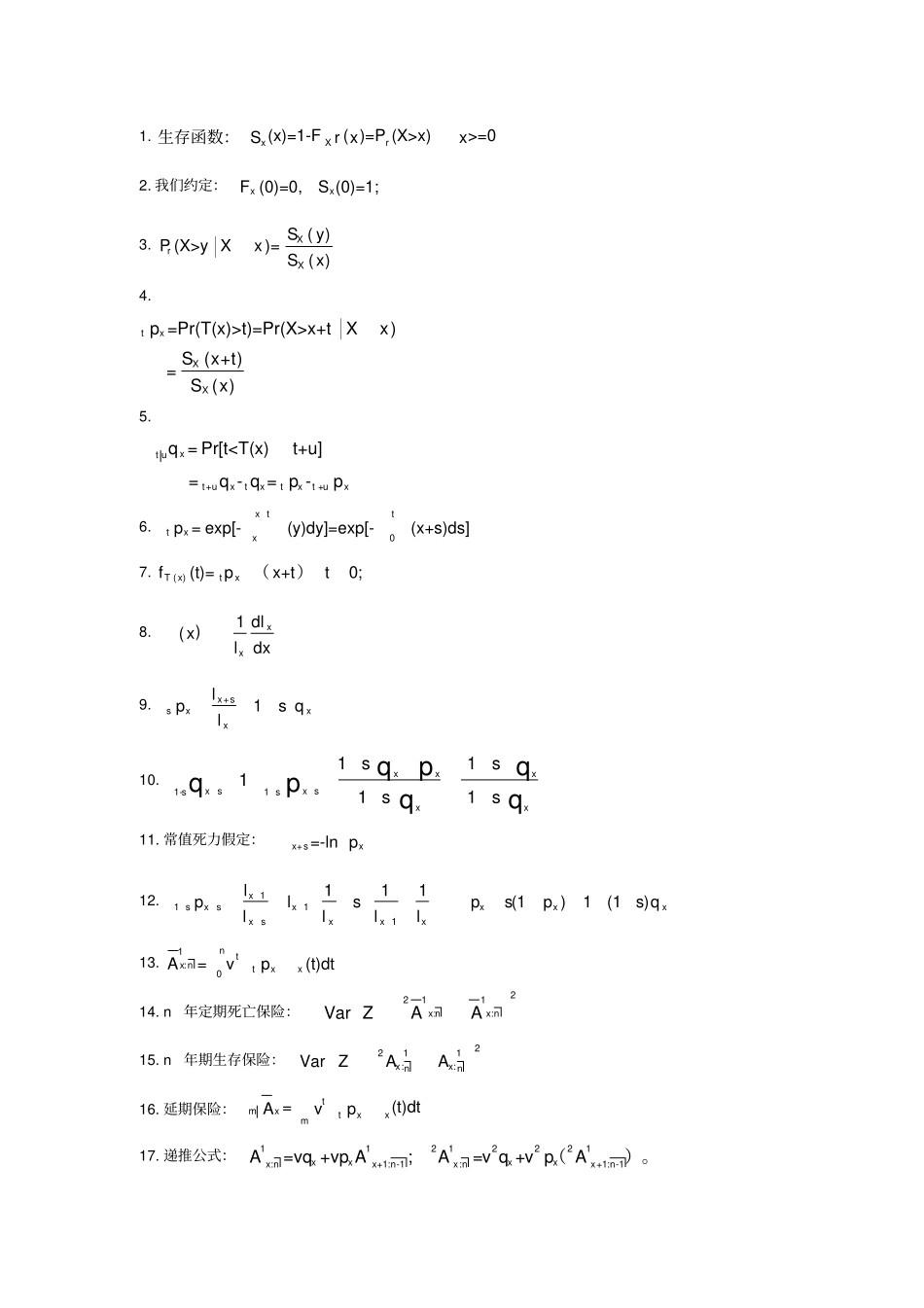
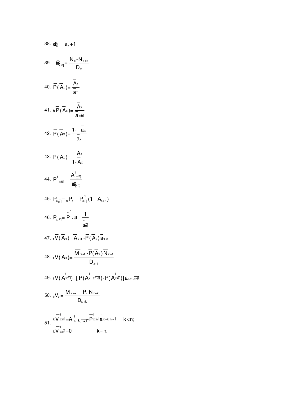
1.(x)=1-F( )=P (X>x)>=0xXrSr xx生存函数:2. 我们约定:x (0)=0,S (0)=1;xF3.r( )(X>y)=( )XXSyPXxSx4.=Pr(T(x)>t)=Pr(X>x+t)( + )=( )txXXpXxSx tSx5.++q = Pr[t

1、当您付费下载文档后,您只拥有了使用权限,并不意味着购买了版权,文档只能用于自身使用,不得用于其他商业用途(如 [转卖]进行直接盈利或[编辑后售卖]进行间接盈利)。
2、本站所有内容均由合作方或网友上传,本站不对文档的完整性、权威性及其观点立场正确性做任何保证或承诺!文档内容仅供研究参考,付费前请自行鉴别。
3、如文档内容存在违规,或者侵犯商业秘密、侵犯著作权等,请点击“违规举报”。

碎片内容

寿险精算公式汇总

爱的疯狂+ 关注
实名认证
内容提供者

该用户很懒,什么也没介绍

相关文档

确认删除?
微信客服
  • 扫码咨询
会员Q群
  • 会员专属群点击这里加入QQ群