电脑桌面
添加小米粒文库到电脑桌面
安装后可以在桌面快捷访问

第5讲_雷达信号的相参检测和处理pptVIP免费

第5讲_雷达信号的相参检测和处理ppt第5讲_雷达信号的相参检测和处理ppt第5讲_雷达信号的相参检测和处理ppt第5讲_雷达信号的相参检测和处理ppt第5讲_雷达信号的相参检测和处理ppt
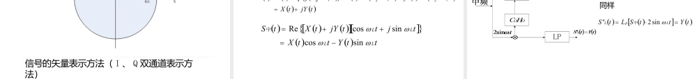
第五讲 雷达信号的相参检测和处理§1. 引言一、使用非相参处理的缺点二、相参处理的原理和发展三、相参处理的几个问题§2. MTI一、分类二、 MTI 改善因子及参差MTI 的频率响应( 一 )MTI 的改善因子( 二 )参差 MTI 的频率响应特性 ( 三 )参差 MTI 的权系数设计§3 . MTI 处理对改善因子和信噪比的损失一、 I 上限二 . 、 MTI 处理损失第五讲 雷达信号的相参检测和处理§1. 引言一、非相参处理的缺点➢ 仅使用幅度信息,失去了相位信息!➢ 不能区分目标的运动方向。信号的矢量表示方法➢不能通过时域积累改善信杂比,因杂波相关时间击中数时间➢ 对 S/N 的改善有限,当 N=100 ; S/N 的改善约为 10dB 。即使能获得独立杂波样本, S/C 改善也难达到要求。如海杂 波,相关时间 10~20ms ,当采样间隔10~20ms 时,为独立样本。积累 1s ,有 50~100 个样本, S/C 改善10dB ,远不满足要求。因输入 S/C 为 -20~-50dB 。§1. 引言§1. 引言二、相参处理的原理和发展➢同时利用幅度和相位信息➢本质上属频域处理§1. 引言相参雷达中:➢ 固定目标, fd=0 ,f =0 ,处于零频单根谱线;➢杂波(地、海), fd 约等于 0 ,f 0 ,处于零频或低频有一定谱宽的信号;➢ 气象、箔条杂波, fd 较高,f0 ;➢动目标信号, fd 较高( 0~ fr 任意),f 0 (可近似认为f =0 )。不同目标信号的频谱特性➢ 下图表示了固定目标(杂波)和动目标频谱特性➢相参检波处理,可获得 fd 信息§1. 引言§1. 引言§1. 引言➢ 动目标处理 : MTI 和 MTD➢ MTI➢一次对消➢频率响应为梳状滤波器,➢凹口在 fr 整数倍处§1. 引言➢ 缺点:□凹口太窄□过滤带太缓□通带太窄所以杂波抑制差,动目标损失大。➢ 改进:□ 多次对消,或反馈型 MTI§1. 引言➢ 发展:□水银延迟线如 CPS-5D ,我国 64 年 581雷达,清华的 403MTI , S/C 改善 18—20 dB 。□□□熔融石英延迟线( 60 年代)移位寄存器( 70 年代) RAM 延迟线( 80 年代初)➢ MTI 指标25dB➢ 80 年代以后,出现 MTD,AMTI,AMTD,SMTD等。§1. 引言§1. 引言三 相参处理中的几个问题(一)指标•改善因子 -------- 信号平均增益,---- 杂波抑制比➢改善因子 ----IS/NNA ---- 噪声抑制比➢ 杂波中可见度 ----SCV□信、杂重叠;□经处理仍能以一定 PF和 PD 检测动目标时的...

1、当您付费下载文档后,您只拥有了使用权限,并不意味着购买了版权,文档只能用于自身使用,不得用于其他商业用途(如 [转卖]进行直接盈利或[编辑后售卖]进行间接盈利)。
2、本站所有内容均由合作方或网友上传,本站不对文档的完整性、权威性及其观点立场正确性做任何保证或承诺!文档内容仅供研究参考,付费前请自行鉴别。
3、如文档内容存在违规,或者侵犯商业秘密、侵犯著作权等,请点击“违规举报”。

碎片内容

第5讲_雷达信号的相参检测和处理ppt

最好的沉淀+ 关注
实名认证
内容提供者

行业文档

确认删除?
VIP
微信客服
  • 扫码咨询
会员Q群
  • 会员专属群点击这里加入QQ群
客服邮箱
回到顶部