电脑桌面
添加小米粒文库到电脑桌面
安装后可以在桌面快捷访问

100道一元一次方程VIP免费

100道一元一次方程_第1页
1/17
100道一元一次方程_第2页
2/17
100道一元一次方程_第3页
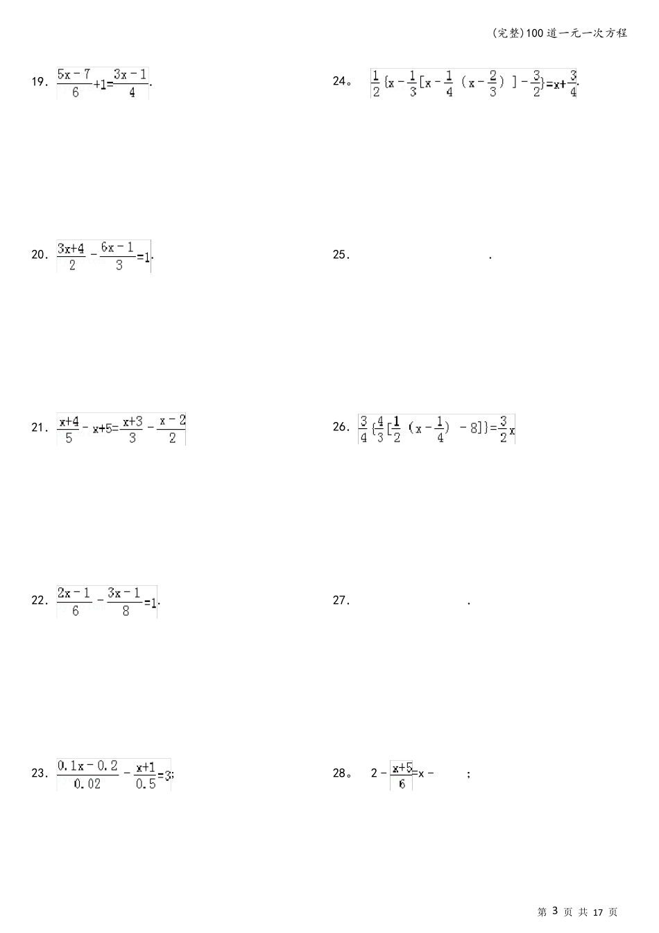
3/17
(完整)100 道一元一次方程 第 1 页 共 17 页 解一元一次方程专项练习 100 题 1.. 2.=﹣2; 3. ﹣2=. 4. 5.. 6.x﹣=2﹣. 7. 8.. (完整)100 道一元一次方程 第 2 页 共 17 页 9. 10. 11。 ﹣6x=﹣ x+1; 12. y﹣ (y﹣1)= (y﹣1); 13. [ ( x﹣ )﹣8]= x+1; 14. . 15.﹣=1. 16. 17.2﹣=﹣. 18.﹣1=﹣. (完整)100 道一元一次方程 第 3 页 共 17 页 19.. 20.. 21. 22.. 23.; 24。 . 25.. 26. 27.. 28。 2﹣=x﹣; (完整)100 道一元一次方程 第 4 页 共 17 页 29。 ﹣1=. 30.. 31. (x﹣1)=2﹣ (x+2). 32。 . 33. 34. 35。 ; 36。 . 37.. 38. (完整)100 道一元一次方程 第 5 页 共 17 页 39. 40. 41. 42. x﹣ 43。 ; 44。 . 45.(x﹣1)﹣(3x+2)=﹣(x﹣1). 46.; 47。 ; 48。 . (完整)100 道一元一次方程 第 6 页 共 17 页 49.+1=; 50. 75%(x﹣1)﹣25%(x﹣4)=25%(x+6) 51. 52。 53. 54. 55。 56。 57。 ; 58. . (完整)100 道一元一次方程 第 7 页 共 17 页 59。 2x﹣ (x﹣3)= [x﹣ (3x+1)]. 60。 61。 62.x+=1﹣ 63.. 64. 65。 ﹣ =. 66. = 67。 68。 (完整)100 道一元一次方程 第 8 页 共 17 页 69. 70. =; 71. 3(x+2)﹣2(x﹣ )=5﹣4x. 72. 2x﹣ 73. 74. [ ( ﹣1)﹣2]﹣x=2. 75.﹣1=. 76., 77.. 78. (完整)100 道一元一次方程 第 9 页 共 17 页 79. 80。 ; 81. . 82. 83。 84. 85. ﹣=. 86.=1﹣. 87. 88.. (完整)100 道一元一次方程 第 10 页 共 17 页 89.. 90. . 91。 92。 ; 93.. 94. . 95. ; 96. . 97.. 98. ; (完整)100 道一元一次方程 第 11 页 共 17 页 99. [ (x﹣1)﹣3]=2x﹣5; 100.. (完整)100 道一元一次方程 第 12 页 共 17 页 解一元一次方程100 题难题解析 1.去分母得:3(2﹣x)﹣18=2x﹣(2x+3), 去括号得: 6﹣3x﹣18=﹣3, 移项合并得: ﹣3x=9, ∴x=﹣3 2.去分母得,3(x﹣1)=4(2x﹣1)﹣24, 去括号得,3x﹣3=8x﹣4﹣24, 移项、合并同类项得,5x=25, 系数化为 1 得,x=5; 3. 原方程变形为:﹣2=, 去分母...

1、当您付费下载文档后,您只拥有了使用权限,并不意味着购买了版权,文档只能用于自身使用,不得用于其他商业用途(如 [转卖]进行直接盈利或[编辑后售卖]进行间接盈利)。
2、本站所有内容均由合作方或网友上传,本站不对文档的完整性、权威性及其观点立场正确性做任何保证或承诺!文档内容仅供研究参考,付费前请自行鉴别。
3、如文档内容存在违规,或者侵犯商业秘密、侵犯著作权等,请点击“违规举报”。

碎片内容

100道一元一次方程

小辰2+ 关注
实名认证
内容提供者

出售各种资料和文档

相关文档

确认删除?
VIP
微信客服
  • 扫码咨询
会员Q群
  • 会员专属群点击这里加入QQ群
客服邮箱
回到顶部