电脑桌面
添加小米粒文库到电脑桌面
安装后可以在桌面快捷访问

函数解析式的七种求法VIP免费

函数解析式的七种求法_第1页
1/20
函数解析式的七种求法_第2页
2/20
函数解析式的七种求法_第3页
3/20
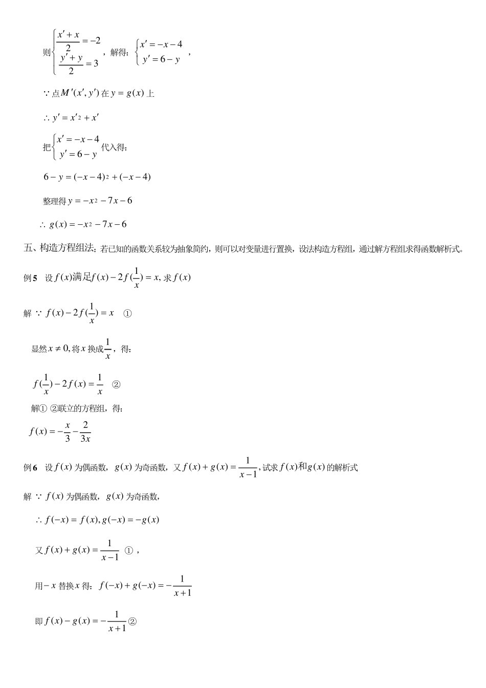
函 数 解 析 式 的 七 种 求 法 一、 待定系数法:在已知函数解析式的构造时,可用待定系数法。 例1 设)(xf是一次函数,且34)]([xxff,求)(xf 解:设baxxf)( )0(a,则 babxabbaxabxafxff2)()()]([ 342baba 3212baba 或 32)(12)(xxfxxf 或 二、 配凑法:已知复合函数[ ( )]f g x的表达式,求( )f x的解析式,[ ( )]f g x的表达式容易配成 ( )g x的运算形式时,常用配凑法。但要注意所求函数( )f x的定义域不是原复合函数的定义域,而是( )g x的值域。 例2 已知221)1(xxxxf )0(x ,求 ( )f x的解析式 解:2)1()1(2 xxxxf, 21  xx 2)(2 xxf )2( x 三、换元法:已知复合函数[ ( )]f g x的表达式时,还可以用换元法求( )f x的解析式。与配凑法一样,要注意所换元的定义域的变化。 例3 已知xxxf2)1(,求 )1(xf 解:令1xt,则1t,2)1(  tx xxxf2)1( ,1)1(2)1()(22ttttf 1)(2 xxf )1( x xxxxf21)1()1(22 )0( x 四、代入法:求已知函数关于某点或者某条直线的对称函数时,一般用代入法。 例4 已知:函数)(2xgyxxy与的图象关于点)3,2(对称,求)(xg的解析式 解:设 ),(yxM为)(xgy 上任一点,且),(yxM为),(yxM关于点)3,2(的对称点 则3222yyxx,解得:yyxx64 , 点),(yxM在 )(xgy 上 xxy2 把yyxx64代入得: )4()4(62xxy 整理得672xxy 67)(2xxxg 五、构造方程组法:若已知的函数关系较为抽象简约,则可以对变量进行置换,设法构造方程组,通过解方程组求得函数解析式。 例5 设,)1(2)()(xxfxfxf满足求)(xf 解 xxfxf)1(2)( ① 显然,0x将x 换成 x1,得: xxfxf1)(2)1( ② 解① ②联立的方程组,得: xxxf323)( 例6 设)(xf为偶函数,)(xg为奇函数,又,11)()(xxgxf试求)()(xgxf和的解析式 解 )(xf为偶函数,)(xg为奇函数, )()(),()(xgxgxfxf 又11)()(xxgxf ① , 用x替换x 得:11)()(xxgxf 即11)()(xxgxf② 解① ②联立的方程组,得 ...

1、当您付费下载文档后,您只拥有了使用权限,并不意味着购买了版权,文档只能用于自身使用,不得用于其他商业用途(如 [转卖]进行直接盈利或[编辑后售卖]进行间接盈利)。
2、本站所有内容均由合作方或网友上传,本站不对文档的完整性、权威性及其观点立场正确性做任何保证或承诺!文档内容仅供研究参考,付费前请自行鉴别。
3、如文档内容存在违规,或者侵犯商业秘密、侵犯著作权等,请点击“违规举报”。

碎片内容

函数解析式的七种求法

小辰8+ 关注
实名认证
内容提供者

出售各种资料和文档

相关文档

确认删除?
VIP
微信客服
  • 扫码咨询
会员Q群
  • 会员专属群点击这里加入QQ群
客服邮箱
回到顶部