化简求值经典练习五十题一.选择题(共 1 小题)1.(2025 秋 包河区期末)已知•a﹣b=5,c+d=2,则(b+c)﹣(a﹣d)的值是( )A....
初三数学中考化简求值专项练习题注意:此类要求的题目,假如没有化简,直接代入求值一分不得!考点:①分式的加减乘除运算 ②因式分解 ③...
网络课程 内部讲义十三三角——化简、求值与证明教 师:司马红丽温馨提示:本讲义为 A4 大小,如需打印请注意用纸尺寸爱护环境,从我做...
分式的化简与求值知识定位分式的化简与求值是竞赛部分重要内容,要掌握分式运算的基本性质,会灵活对分式作恒等变形,能利用参数对复杂的分...
分式的化简与求值知识定位分式的化简与求值是竞赛部分重要内容,要掌握分式运算的基本性质,会灵活对分式作恒等变形,能利用参数对复杂的分...
分式求值专项练习1.已知x+ 1x =4。1)求x2+ 1x2 的值;2)求x4+ 1x 4 的值;3)求x3+ 1x3 的值;4)求x2x4+x2+1 的值;5)求(x−...
代数式求值方法知识定位 学习了整式后,常常会遇到一些代数式的求值问题。代数式涉及的求值类型、方法和技巧是比较多的,比如:特别值、换...
(朝阳)10.假如,那么代数式的值是 .(大兴)14.xy =32 ,则的值是 .(东城)12. 化简代数式,正确的结果为________________. (...
.解答题(共 30 小题)先化简再求值1•化简求值:,选择一个你喜欢且有意义的数代入求值.齢 1/-12.先化简,再求值,然后选取一个使原式...
软件技术基础实验报告实验名称: 表达式计算器 系 别: 通信工程 年 级: 班 级: 学生学号: 学生: 《数据结构》课程设计报告...
分式的化简与求值知识定位分式的化简与求值是竞赛部分重要内容,要掌握分式运算的基本性质,会灵活对分式作恒等变形,能利用参数对复杂的分...
(朝阳)10.假如,那么代数式的值是 .(大兴)14.xy =32 ,则的值是 .(东城)12. 化简代数式,正确的结果为________________. (...
3.3 代数式求值教学目标1.会求代数式的值.2.会利用代数式求值推断代数式所反映的规律.(二)能力训练要求1.会求代数式的值,感受代数式求值...
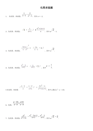
1. 先化简,再求值:1x−1−2x2−1 ,其中 x=-2.2、先化简,再求值:,其中 a=1﹣ .3、(•綦江县)先化简,再求值:,其中 x=...
第1 页 一元二次方程的化简求值题姓名: 成绩: 1.(2013•江都市一模)先化简再求值:(1+)÷,其中x是方程x2﹣3x=0 的根. 2.(...
化简求值题1. 先化简,再求值:,其中 x=-2.2、先化简,再求值:,其中 a=﹣1.3、先化简,再求值:,其中 x=.4、先化简,再求值...
化简求值题1. 先化简,再求值:1x−1−2x2−1 ,其中 x=-2.2、先化简,再求值:,其中 a=1﹣ .3、先化简,再求值:,其中 x=.4...
求值域方法 常用求值域方法 (1)、直接观察法:利用已有的基本函数的值域观察直接得出所求函数的值域 对于一些比较简单的函数,如...
第1页 共 12页 求函数值域的十种方法 一.直接法(观察法):对于一些比较简单的函数,其值域可通过观察得到。 例1.求函数1yx ...
数学竞赛中旳代数式求值经典问题题型一、代数式恒等变形1.若 abc=1,则旳值是( )A.1.B.0.C.-1. D.-2.解析:abc=1,则 a,b,c ...

