1 沈变煤油汽相真空干燥罐施工方案 一、概述: 煤油汽相真空干燥罐是目前变压器行业应用于线圈或变压器器身干燥的一项比较先进的专用设...
1 2 3 4 5 6 7 8 9 1 0 、 1 1 1 2 1 3 1 4 1 5 1 6 1 7 1 8 1 9
汽轮机真空系统知识 第 一 节 凝 汽 设 备 的 作 用 凝气设备主要由凝汽器、循环水泵、凝结水泵、抽气器等组成。 一、凝汽器的...
1 《汽车液压制动主缸带真空助力器总成台架试验规范》 编制说明 编写单位:中国汽车工程研究院股份有限公司 上海汽车制动器公司 浙江...
江苏黄浦矿机盘式真空过滤机说明书
永磁机构的真空断路器的特点 我国中压开关设备最突出的问题就是操作机构可靠性不高和绝缘问题,这方面与发达国家相比有较大的差距。目前,...
1八达电气 KBZ20-400/1140(660)矿用隔爆型真空馈电开关功能原理描述一、元件功能与作用1. T1—电源变压器(1140V、660V/127V),电源变...
水平真空带式过滤机发展 一、概述 水平真空带式过滤机是近年来发展最快,应用领域不断拓展的真空过滤设备,由于它是属于顶部加料,过滤面...
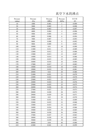
Pressure (mbar)Pressure (Pa)Pressure (MPa)Pressure (KPa)真空度 (P)1010000.0011-0.0992020000.0022-0.0983030000.0033-0.09740400...
B/0 X AJJG 量-02-2003 计 量 校 准 规 程 (氧气表、乙炔表、氩气表、真空表) 2003.9.1 发布 2003.9.1 实施 湖南省工业设...
气瓶安装抽真空、置换作业指导书及置换报告 车牌号: 气瓶型号编号: 测试日期: 年 月 日 置换人: 质量负责人: 一、 测试设备...
D U 20/2000 型固定室 橡胶带式真空过滤机 二级石膏脱水系统 使用说明书 湖 州 核 华 机械 有 限 公 司 2007 年 5 月 ...
精品文档---下载后可任意编辑真空炉产品报废的几种可能情况及其解决办法一、 热电偶击穿产品报废二、 真空炉返油产品报废三、 产品材料...
630MW 机组真空系统灌水查漏技术方案 1 灌水目的 检查机组真空系统有无漏点,以便在检修中及时消除,提高机 组真空系统的严密性。 2...
一、10kV户外高压真空断路器 1.总则 1.1 本要求适用于10kV及以下配网工程户外高压真空断路器的技术规范. 1.2 本技术规范作10kV真空断...
真空断路器、隔离开关、负荷开关作用与区别详解-民熔什么是负荷开关?是具有简单的灭弧装置,可以带负荷分,合电路的控制电器。能通断一定...
精品文档---下载后可任意编辑弹簧管式一般压力表、压力真空表及真空表1 概述 测量依据:依据 JJG52-1999《弹簧管式一般压力表、压力真空...
精品文档---下载后可任意编辑广州亚运城真空垃圾收集系统工程设备材料采购及相关效劳招标公告〔第二次〕 根据穗发改城 [2024]85 号 批...
2 0 1 2 -2 0 1 6 年中国真空保温杯市场行情动态及发展前景预测报告 报告简介 一般是由不锈钢加上真空层作成的盛水的容器,顶部有...
浅论真空预压施工员现场管理 摘要:新入职旳施工员对于现场工作旳开展应首先熟悉工作旳思绪,理解工作内容,对施工现场安全、质量、进度控...

