⑴、5个人+8个人=⑵、5只羊+8只羊=⑶、5个人+8只羊=思考问题观察下列各单项式,把你认为相同类型的式子归为一类。8x2y,-mn2,5a,3/8-x2y...
2.2整式的加减合阳县实验中学张艳知识回顾:1.整式的概念2.单项式,单项式的系数,次数3.多项式,多项式的项,多项式的次数,5x2y,0,-2x2...
4整式的乘法(第3课时)前置诊断:计算:(1)(2)222(3)()mnmmnn22(25)aaab创设情境:图1-1是一个长和宽分别为m,n的长方形纸...
湖北省宜昌英杰学校李焕例老师的想法:若光明中学七年级五班50名同学,想参加元旦长跑活动的同学就举手,当举手的人数和没有举手的人数之差...
第1课时整式的概念姓名:学号:______学习目标:了解单项式、多项式、整式的概念,弄清它们与代数式之间的联系与区别。一、单项式1、单项式...
第3课时整式加减(合并同类项)班级:姓名:学号一、合并下列各式的同类项①②③④⑤⑥二、强调:先画线找出同类项,再合并同类项例1:合并...
第4课整式运算中的去括号姓名:学号:问题探究1、化简+(-3)==-(+4)=-(-10)==2、去括号运算①②③④归纳:如果括号外的因数是正数,去...
第一章第7节整式的除法(第2课时)说课稿石聪侠我的说课内容是北师大版七年级数学下册第一章第七节整式除法第二课时的内容,下面我就教材、...
第三章整式及其加减4.整式的加减(一)一、学生起点分析学生在小学已学习了乘法分配律,在第二章学习了有理数的加减运算,在本章学习了“字...
整式的乘法练习册同底数幂的乘法课堂练习练习一(1)计算:(口答)①②③④⑤⑥(2)计算:①②③④⑤⑥练习二下面的计算对不对?如果不对...
整式加减运算的最后结果也是一个整式,整式加减运算的最后结果也是一个整式,一般地,要求这个结果是最简的。一般地,要求这个结果是最简的...
15.3.1同底数幂的除法金寨初中梅涛1.前面我们学习了同底数幂的乘法,请口答:(1)5×5(2)10×10(3)a×a335232问题:你能将这一问题转化...
整式加减运算的最后结果也是一个整式,整式加减运算的最后结果也是一个整式,一般地,要求这个结果是最简的。一般地,要求这个结果是最简的...
2.22.2整式的加减整式的加减(第(第33课时)课时)义务教育教科书数学七年级上册1.合并同类项的法则:把同类项的系数_____,字母和字母的__...
欢迎光临,多多指导!八年级数学上册教学课件教者:刘文玺14.1.1整式的乘法(第1课时)课件说明•本课是在学生已经学习了数的乘方的基础上...
我们常常把具有相同特征的事物归为一类.动手动脑问题:捐结款束,班干部要留下来清点班级捐款总数,假如你是班干部,面对这一堆不同面值的...
2.2.1整式的加减对下类水果进行分类:240b23ab100a-1260b200a27329yx327yx213ab235.0xy找一找,看谁找得全!1.请在下列单项式中找出具...
1.去括号的法则:如果括号外的因数是_____,去括号后原括号内各项的符号________________;如果括号外的因数是______,去括号后原括号内各...
一、整式的意义1、25a表示什么意义?2、同理,)65(6)32(422xxxx可以表示什么意义?二、数量关系的应用例1、求多项式ba2和多...
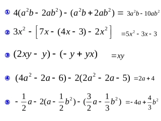
22224(2)(2)abababab2237(43)2xxxx(2)()xyyyyx)522(2)624(22aaaa)3123()21(22122babaa...

