电脑桌面
添加小米粒文库到电脑桌面
安装后可以在桌面快捷访问

整式的加减练习题VIP免费

整式的加减练习题_第1页
1/11
整式的加减练习题_第2页
2/11
整式的加减练习题_第3页
3/11
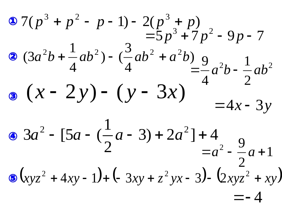
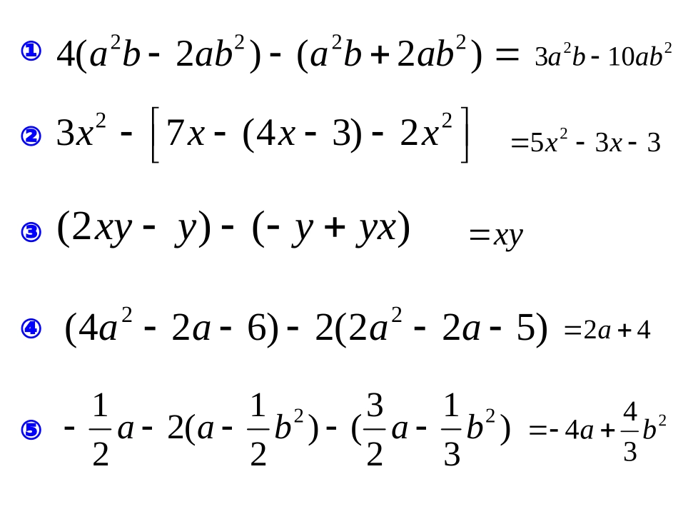
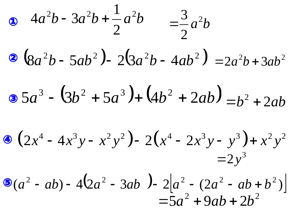
22224(2)(2)abababab2237(43)2xxxx(2)()xyyyyx)522(2)624(22aaaa)3123()21(22122babaa①②③④⑤22103abba3352xxxy42a2344babababa2222134222243258abbaabba)2(2324)(22222babaaabaabaabbaba2453523234322433222422xxyxyxxyyxy①②③④⑤ba2232232abbaabb2232y22295baba)(2)1(7323ppppp)43()413(2222baababba(2)(3)xyyx2213[5(3)2]42aaaaxyxyzyxzxyxyxyz22223314①②③④⑤797523ppp222149abbayx341292aa422222123xxx22313222xxxx2232369xyxyaababab5232326233(4333)(4)aaaaa①②③④⑤085122xxyx642ab19635323aaa2237(43)2xxxx22225(3)2(7)abababab22112()822aabaabab222234,1,1xyxyxyxyxyxy其中)]21(3)13(2[22222xxxxxx①②③④⑤3352xx223abbaabb925251262xx0552xyyx)253(5)52(222xxxx222225533yyxyyxx222243254abbaabba),3123()322(2122yxyxx)(3)(3)22(22222222yyxxyxyx①②③④⑤2525142xx2x2232abba23yx22yx233233543xxxx133211nnnnxxxxbabababa322241233222332babbaabba21222222)(5.0)(31)(2)(babababa①②③④⑤763x6451nnxxbaa232)(611ba)(219)(432baba43321xx)41(4)8(2222xyyxxyyx)3(4)2(222xxxxcbbaba422235526733xyxyxxyxy①②③④⑤x125125yx24922xcba22362533xxyxy)23()3(32222caacbacaacba)(2)(2babaa)377()5(322222ababbabaa2),45()54(3223xxxxx其中2246(23)2xxxx①②③④⑤ca2ba2266baba3422xx714323xx)15()42(22aaaa)22()(3)2(2222222baabbaabbaab)]21(3)13(2[22222xxxxxx)674()132()345(323223xxxxxxxxx)(4)()(3222222yzzyyx①②③④⑤3562aabaab22351262xx222523zyx21}1]1)1([{2222xxxx2222(2)3(2)4(32)abaaabaab)](32[52222baababba)312(65aa12)1(32nmm①②③④⑤024aabbaab222314a43nm

1、当您付费下载文档后,您只拥有了使用权限,并不意味着购买了版权,文档只能用于自身使用,不得用于其他商业用途(如 [转卖]进行直接盈利或[编辑后售卖]进行间接盈利)。
2、本站所有内容均由合作方或网友上传,本站不对文档的完整性、权威性及其观点立场正确性做任何保证或承诺!文档内容仅供研究参考,付费前请自行鉴别。
3、如文档内容存在违规,或者侵犯商业秘密、侵犯著作权等,请点击“违规举报”。

碎片内容

整式的加减练习题

您可能关注的文档

确认删除?
VIP
微信客服
  • 扫码咨询
会员Q群
  • 会员专属群点击这里加入QQ群
客服邮箱
回到顶部