电脑桌面
添加小米粒文库到电脑桌面
安装后可以在桌面快捷访问

新标准大学英语视听说教程3完全答案VIP免费

新标准大学英语视听说教程3完全答案_第1页
1/10
新标准大学英语视听说教程3完全答案_第2页
2/10
新标准大学英语视听说教程3完全答案_第3页
3/10
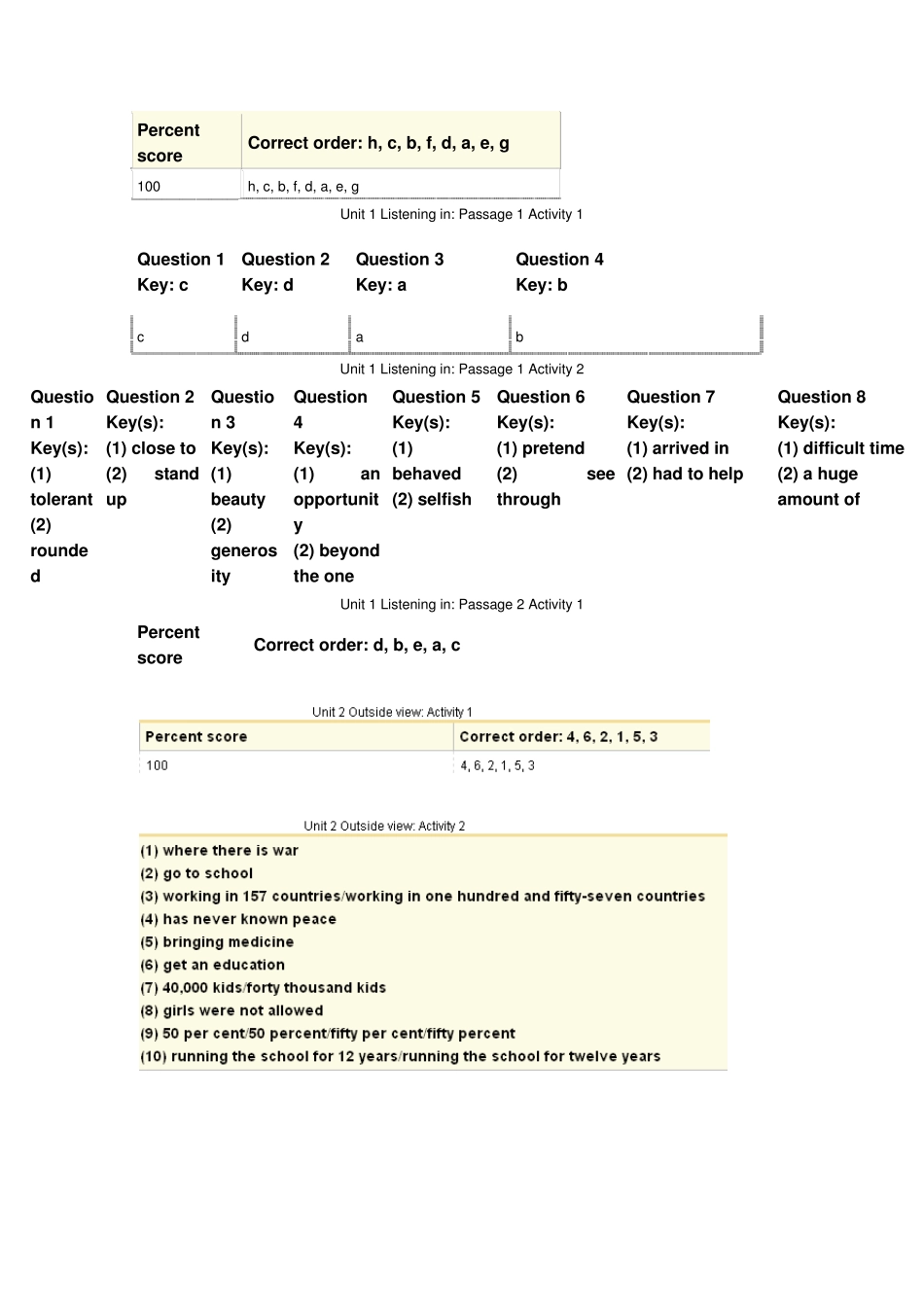
新标准大学英语 视听说教程答案 Unit 1 Outside view: Activity 1 Unit 1 Outside view: Activity 2 Unit 1 Outside view: Activity 3 Percent score Row 1: 2 Row 2: 1 Row 3: 4 Row 4: 1 Row 5: 2 Row 6: 1 Row 7: 3 100 Row 1: 2 Row 2: 1 Row 3: 4 Row 4: 1 Row 5: 2 Row 6: 1 Row 7: 3 Unit 1 Outside view: Activity 4 Percent score Question 1 Key: b Question 2 Key: c Question 3 Key: c Question 4 Key: a Question 5 Key: a 100 b c c a a Percent score Correct order: h, c, b, f, d, a, e, g 100 h, c, b, f, d, a, e, g Unit 1 Listening in: Passage 1 Activ ity 1 Question 1 Key: c Question 2 Key: d Question 3 Key: a Question 4 Key: b c d a b Unit 1 Listening in: Passage 1 Activ ity 2 Question 1 Key(s): (1) tolerant (2) rounded Question 2 Key(s): (1) close to (2) stand up Question 3 Key(s): (1) beauty (2) generosity Question 4 Key(s): (1) an opportunity (2) beyond the one Question 5 Key(s): (1) behaved (2) selfish Question 6 Key(s): (1) pretend (2) see through Question 7 Key(s): (1) arrived in (2) had to help Question 8 Key(s): (1) difficult time (2) a huge amount of Unit 1 Listening in: Passage 2 Activ ity 1 Percent score Correct order: d, b, e, a, c

1、当您付费下载文档后,您只拥有了使用权限,并不意味着购买了版权,文档只能用于自身使用,不得用于其他商业用途(如 [转卖]进行直接盈利或[编辑后售卖]进行间接盈利)。
2、本站所有内容均由合作方或网友上传,本站不对文档的完整性、权威性及其观点立场正确性做任何保证或承诺!文档内容仅供研究参考,付费前请自行鉴别。
3、如文档内容存在违规,或者侵犯商业秘密、侵犯著作权等,请点击“违规举报”。

碎片内容

新标准大学英语视听说教程3完全答案

您可能关注的文档

确认删除?
VIP
微信客服
  • 扫码咨询
会员Q群
  • 会员专属群点击这里加入QQ群
客服邮箱
回到顶部