电脑桌面
添加小米粒文库到电脑桌面
安装后可以在桌面快捷访问

建筑结构计算题库VIP免费

建筑结构计算题库_第1页
1/8
建筑结构计算题库_第2页
2/8
建筑结构计算题库_第3页
3/8
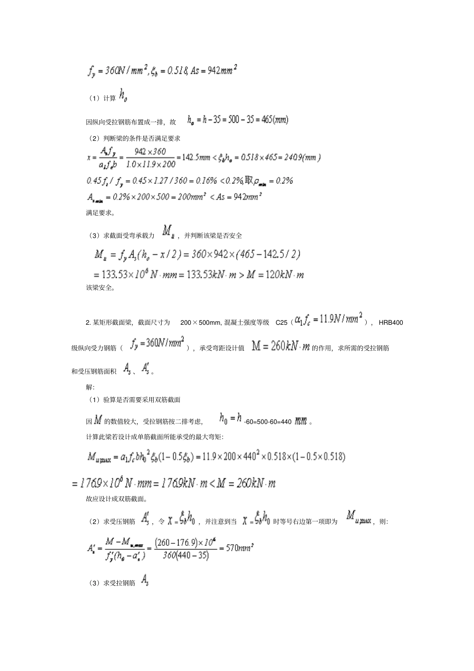
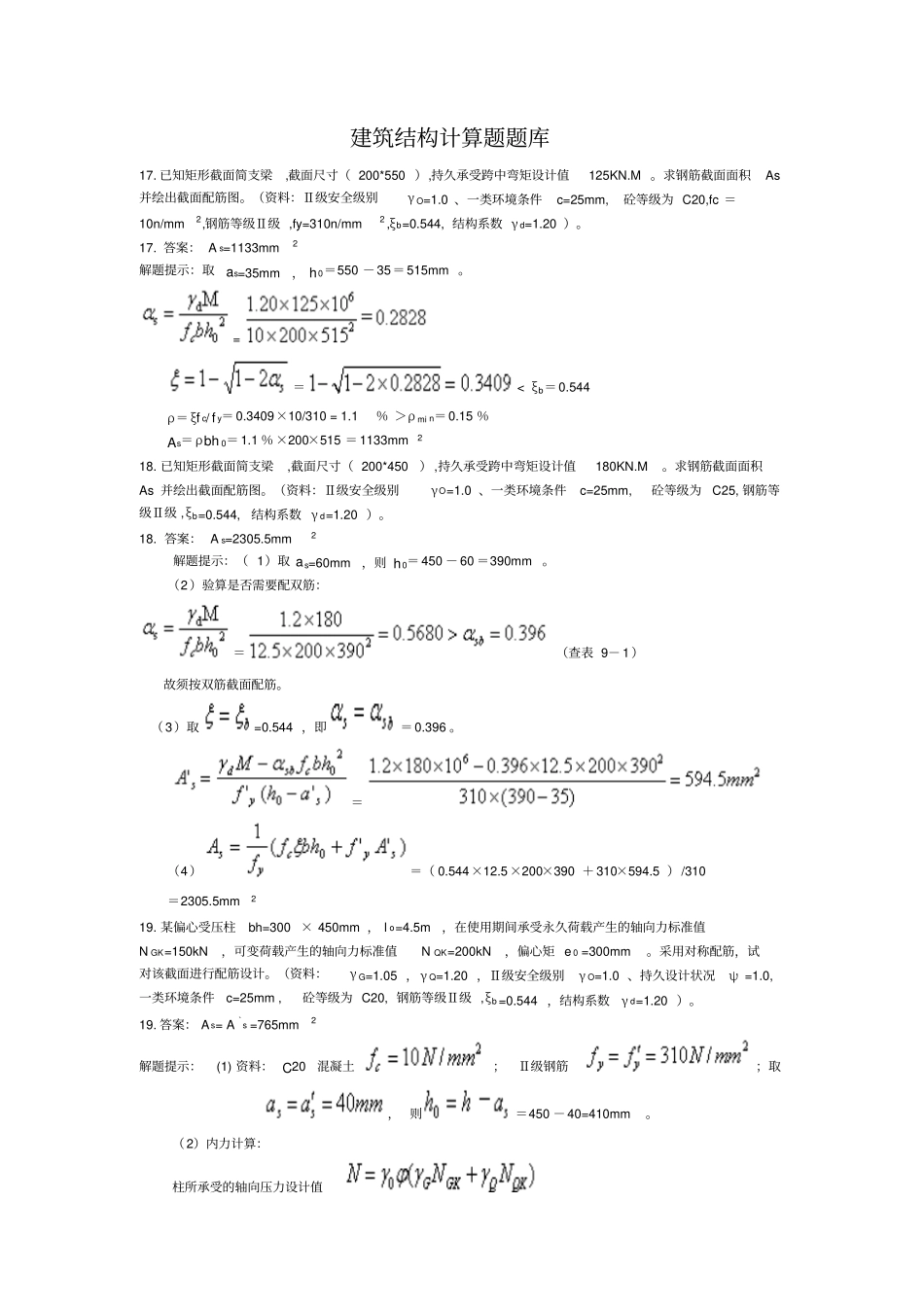
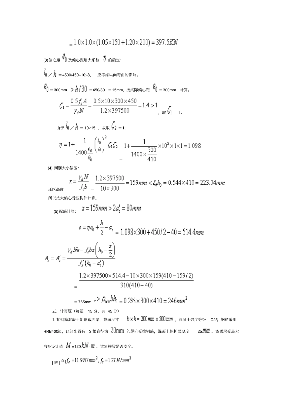
建筑结构计算题题库17. 已知矩形截面简支梁,截面尺寸( 200*550 ),持久承受跨中弯矩设计值125KN.M 。求钢筋截面面积As并绘出截面配筋图。(资料:Ⅱ级安全级别γ O=1.0 、一类环境条件c=25mm, 砼等级为 C20,fc =10n/mm2,钢筋等级Ⅱ级 ,fy=310n/mm2 ,ξb=0.544, 结构系数 γ d=1.20 )。17. 答案: A s=1133mm2解题提示:取as=35mm, h0=550 - 35= 515mm 。==< ξb= 0.544 ρ= ξf c/ f y= 0.3409×10/310 = 1.1% >ρ mi n= 0.15 %As= ρbh 0= 1.1 % ×200×515 = 1133mm218. 已知矩形截面简支梁,截面尺寸( 200*450) ,持久承受跨中弯矩设计值180KN.M。求钢筋截面面积As 并绘出截面配筋图。(资料:Ⅱ级安全级别γO=1.0 、一类环境条件c=25mm, 砼等级为C25, 钢筋等级Ⅱ级 ,ξb=0.544,结构系数 γ d=1.20 )。18. 答案: A s=2305.5mm2解题提示:( 1)取 as=60mm,则 h0= 450 - 60 =390mm。(2)验算是否需要配双筋:=(查表 9- 1)故须按双筋截面配筋。( 3)取=0.544 ,即= 0.396 。=(4)=( 0.544×12.5×200×390 + 310×594.5 ) /310 =2305.5mm219. 某偏心受压柱bh=300 × 450mm , l o=4.5m,在使用期间承受永久荷载产生的轴向力标准值N GK=150kN,可变荷载产生的轴向力标准值N QK=200kN,偏心矩 e 0 =300mm。采用对称配筋,试对该截面进行配筋设计。(资料:γ G=1.05 , γ Q=1.20 ,Ⅱ级安全级别γ O=1.0 、持久设计状况ψ =1.0,一类环境条件c=25mm , 砼等级为 C20, 钢筋等级Ⅱ级 ,ξb =0.544 ,结构系数γ d=1.20 )。19. 答案: As= A `s =765mm2 解题提示:(1) 资料: C20混凝土;Ⅱ级钢筋;取, 则=450 - 40=410mm。( 2)内力计算:柱所承受的轴向压力设计值=(3)偏心距及偏心距增大系数的确定:/=4500/450=10>8,应考虑纵向弯曲的影响。=300mm=450/30 =15mm, 按实际偏心距=300mm计算。,取=1;由于/= 10<15 ,故取=1;= (4) 判别大小偏压:压区高度=所以按大偏心受压构件计算。(5) 配筋计算:=== 765mm2=’五、计算题(每题15 分,共 45 分)1. 某钢筋混凝土矩形截面梁,截面尺寸,混凝土强度等级C25,钢筋采用HRB400级,已经配置有3 根直径为的纵向受拉钢筋,混凝土保护层厚度25。该梁承受最大弯矩设计值=120。试复核梁是否安全。[ 解 ](...

1、当您付费下载文档后,您只拥有了使用权限,并不意味着购买了版权,文档只能用于自身使用,不得用于其他商业用途(如 [转卖]进行直接盈利或[编辑后售卖]进行间接盈利)。
2、本站所有内容均由合作方或网友上传,本站不对文档的完整性、权威性及其观点立场正确性做任何保证或承诺!文档内容仅供研究参考,付费前请自行鉴别。
3、如文档内容存在违规,或者侵犯商业秘密、侵犯著作权等,请点击“违规举报”。

碎片内容

建筑结构计算题库

您可能关注的文档

确认删除?
VIP
微信客服
  • 扫码咨询
会员Q群
  • 会员专属群点击这里加入QQ群
客服邮箱
回到顶部