电脑桌面
添加小米粒文库到电脑桌面
安装后可以在桌面快捷访问

CX公司各部门岗位职责-VIP免费

CX公司各部门岗位职责-_第1页
1/63
CX公司各部门岗位职责-_第2页
2/63
CX公司各部门岗位职责-_第3页
3/63
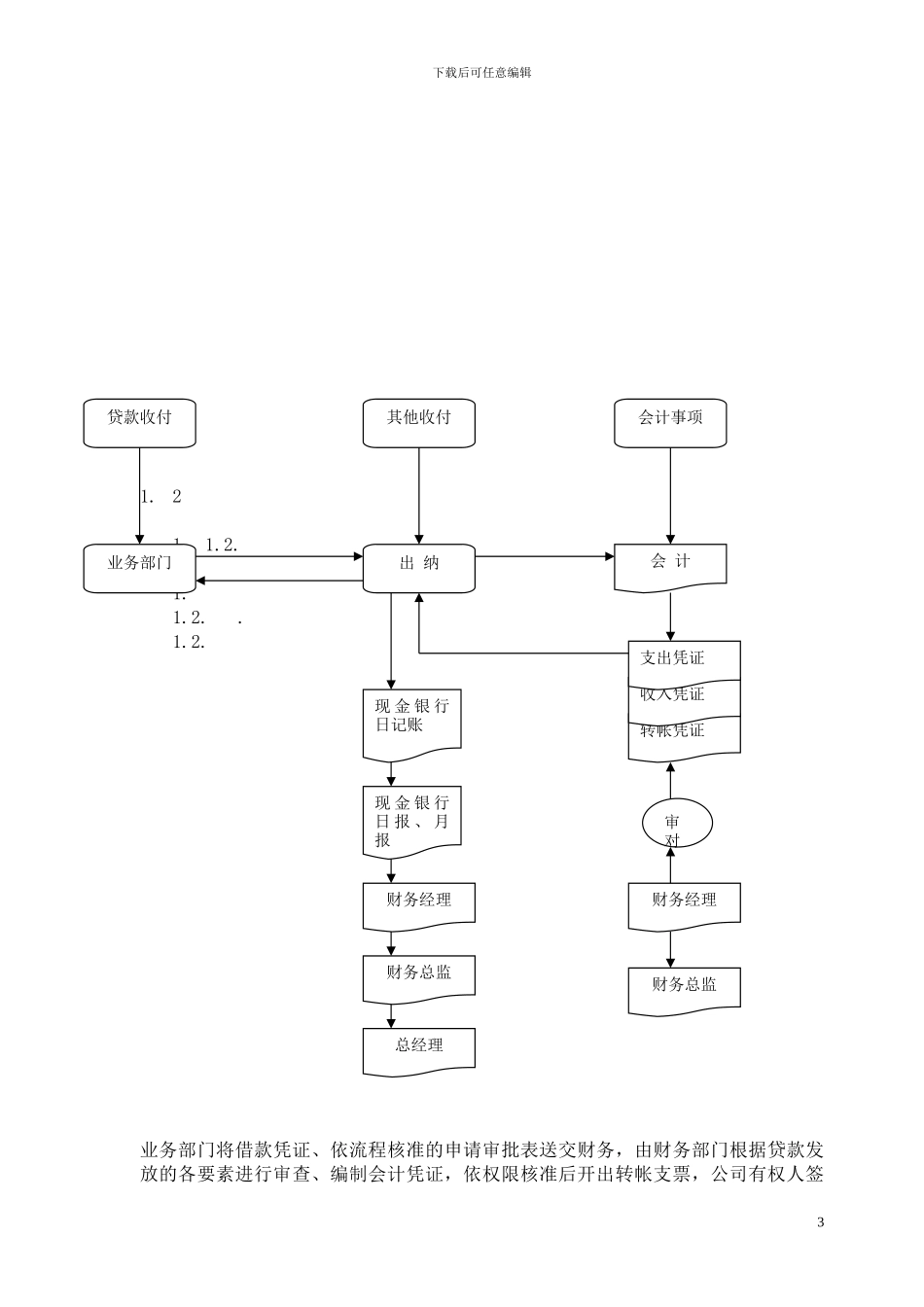
下载后可任意编辑创 鑫 公 司 财 务 部 职 责本公司财务人员应严格按国家法律、会计法规、有关财务制度、对经营活动进行正确核算,严格监督,如实反映各项经济业务,维护公司的正当权益。财务部设财务总监 1 人、财务经理 1 人 (兼会计)、出纳 1 人。 一、 财务总监职责:1. 对公司董事会和总经理负责,保证公司财务会计活动健康运行。在董事会和总经理领导下,总管公司会计、报表、预算工作。 2. 负责审定公司利润计划、资本投资、财务规划、销售前景、开支预算或成本标准。 3. 制定和管理税收政策方案及程序。 4. 建立健全公司内部核算的组织、指导和数据管理体系,以及核算和财务管理的规章制度。 5. 组织公司有关部门开展经济活动分析,组织编制公司财务计划、成本计划。6. 在董事会议定的范围内,与总经理一起对重大事项进行联签。 7. 对于企业的经营活动,从财务管理的角度提出意见,对财务人员任用、调动、奖惩提出建议,完善企业的财务管理制度和内控、内审制度,对损害公司资产安全的行为,向董事会提出处理建议。二、 财务部经理职责: 协助公司财务总监建立健全财务制度,监督实施经营计划、经济指标完成情况考核办法。 编列部门费用预算、汇总公司费用预算,报财务总监复核。日常收支审核,包括核对预算、合同、核准权限、流程、原始凭证是否符合要求等。月资金计划的编制,资金审批流程、权限的审核,编制资金收支周报、月报及资金运用的分析。负责项目经营计划的预测报表编制。负责项目经营的财务管理及成本控制、项目预算支出的审核、成本分析报表的审核。月度、季度、年度财务报表及预算使用情况等报表的审核、报送。 向总经理汇报资金计划执行、项目预算执行、费用预算执行等财务情况及经营决策建议。协助资金的融入及拆借,保证公司资金的合理支付和正常运营。 负责及协调税务、银行、外管局、及会计师、税务师事务所相关工作。 上缴税费测算、申报审核等涉税事宜。 宣传、维护财务制度和纪律。负责财务人员培训及本部门管理工作。 三. 财务会计职责: 协助部门财务经理搞好本部门的管理工作。设置和登记会计帐薄,提供会计信息。 编制资金的收付及费用支出会计凭证。负责债权债务的核对和清理。 负责编制月度、季度、年度财务报表及预算使用情况等报表。 1下载后可任意编辑负责各项税金的计算提取和申报缴纳。 负责工资计划的编制和申报,保险及各项基金的提取缴纳。 协助税务、银行...

1、当您付费下载文档后,您只拥有了使用权限,并不意味着购买了版权,文档只能用于自身使用,不得用于其他商业用途(如 [转卖]进行直接盈利或[编辑后售卖]进行间接盈利)。
2、本站所有内容均由合作方或网友上传,本站不对文档的完整性、权威性及其观点立场正确性做任何保证或承诺!文档内容仅供研究参考,付费前请自行鉴别。
3、如文档内容存在违规,或者侵犯商业秘密、侵犯著作权等,请点击“违规举报”。

碎片内容

CX公司各部门岗位职责-

确认删除?
VIP
微信客服
  • 扫码咨询
会员Q群
  • 会员专属群点击这里加入QQ群
客服邮箱
回到顶部