电脑桌面
添加小米粒文库到电脑桌面
安装后可以在桌面快捷访问

2009年石油化工检修工程预算定额子目第一册VIP免费

2009年石油化工检修工程预算定额子目第一册_第1页
1/80
2009年石油化工检修工程预算定额子目第一册_第2页
2/80
2009年石油化工检修工程预算定额子目第一册_第3页
3/80
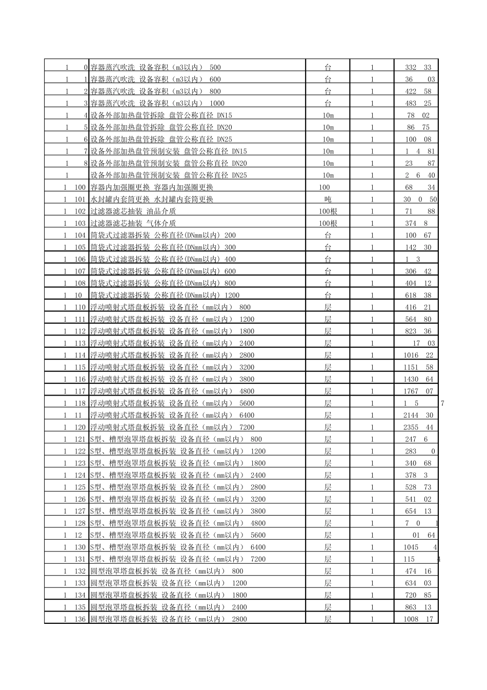
[工程名称]:J1-1碳钢矩型容器现场制作 设备重量(吨以内) 0.3吨15520.20J1-2碳钢矩型容器现场制作 设备重量(吨以内) 0.5吨14420.43J1-3碳钢矩型容器现场制作 设备重量(吨以内) 1.0吨14039.23J1-4碳钢矩型容器现场制作 设备重量(吨以内) 2.0吨13570.73J1-5碳钢矩型容器现场制作 设备重量(吨以内) 4.0吨12539.14J1-6碳钢矩型容器现场制作 设备重量(吨以内) 7.0吨12362.67J1-7碳钢矩型容器现场制作 设备重量(吨以内) 12.0吨12134.81J1-8碳钢平底平顶圆型容器现场制作 设备重量(吨以内) 0.1吨18148.46J1-9碳钢平底平顶圆型容器现场制作 设备重量(吨以内) 0.25吨16682.53J1-10碳钢平底平顶圆型容器现场制作 设备重量(吨以内) 0.4吨15291.61J1-11碳钢平底平顶圆型容器现场制作 设备重量(吨以内) 0.7吨14437.23J1-12碳钢平底平顶圆型容器现场制作 设备重量(吨以内) 1.0吨13834.45J1-13碳钢平底平顶圆型容器现场制作 设备重量(吨以内) 1.5吨13573.93J1-14碳钢平底平顶圆型容器现场制作 设备重量(吨以内) 2.5吨13411.74J1-15碳钢平底平顶圆型容器现场制作 设备重量(吨以内) 4.0吨13128.18J1-16不锈钢矩形容器现场制作 设备重量(吨以内) 0.3吨19238.01J1-17不锈钢矩形容器现场制作 设备重量(吨以内) 0.5吨18414.22J1-18不锈钢矩形容器现场制作 设备重量(吨以内) 1吨16851.51J1-19不锈钢矩形容器现场制作 设备重量(吨以内) 2吨16173.96J1-20不锈钢矩形容器现场制作 设备重量(吨以内) 4吨15420.01J1-21不锈钢矩形容器现场制作 设备重量(吨以内) 7吨15158.27J1-22不锈钢矩形容器现场制作 设备重量(吨以内) 12吨14629.83J1-23不锈钢平底平顶圆形容器现场制作 设备重量(吨以内) 0.1吨114247.68J1-24不锈钢平底平顶圆形容器现场制作 设备重量(吨以内) 0.25吨111676.76J1-25不锈钢平底平顶圆形容器现场制作 设备重量(吨以内) 0.4吨110343.73J1-26不锈钢平底平顶圆形容器现场制作 设备重量(吨以内) 0.7吨19273.93J1-27不锈钢平底平顶圆形容器现场制作 设备重量(吨以内) 1.0吨18227.02J1-28不锈钢平底平顶圆形容器现场制作 设备重量(吨以内) 1.5吨17394.68J1-29不锈钢平底平顶圆形容器现场制作 设备重量(吨以内) 2.5吨16995.44J1-30不锈钢平底平顶圆形容器现场制作 设备重量(吨以内) 4.0吨16497.08J1-31容器水压试验 设备容积(m3以内) 5台1375.47J1-32容器水压试验 设备容积(m3以内) 10台1496.90...

1、当您付费下载文档后,您只拥有了使用权限,并不意味着购买了版权,文档只能用于自身使用,不得用于其他商业用途(如 [转卖]进行直接盈利或[编辑后售卖]进行间接盈利)。
2、本站所有内容均由合作方或网友上传,本站不对文档的完整性、权威性及其观点立场正确性做任何保证或承诺!文档内容仅供研究参考,付费前请自行鉴别。
3、如文档内容存在违规,或者侵犯商业秘密、侵犯著作权等,请点击“违规举报”。

碎片内容

2009年石油化工检修工程预算定额子目第一册

您可能关注的文档

确认删除?
VIP
微信客服
  • 扫码咨询
会员Q群
  • 会员专属群点击这里加入QQ群
客服邮箱
回到顶部