电脑桌面
添加小米粒文库到电脑桌面
安装后可以在桌面快捷访问

数列专项练习VIP免费

数列专项练习_第1页
1/9
数列专项练习_第2页
2/9
数列专项练习_第3页
3/9
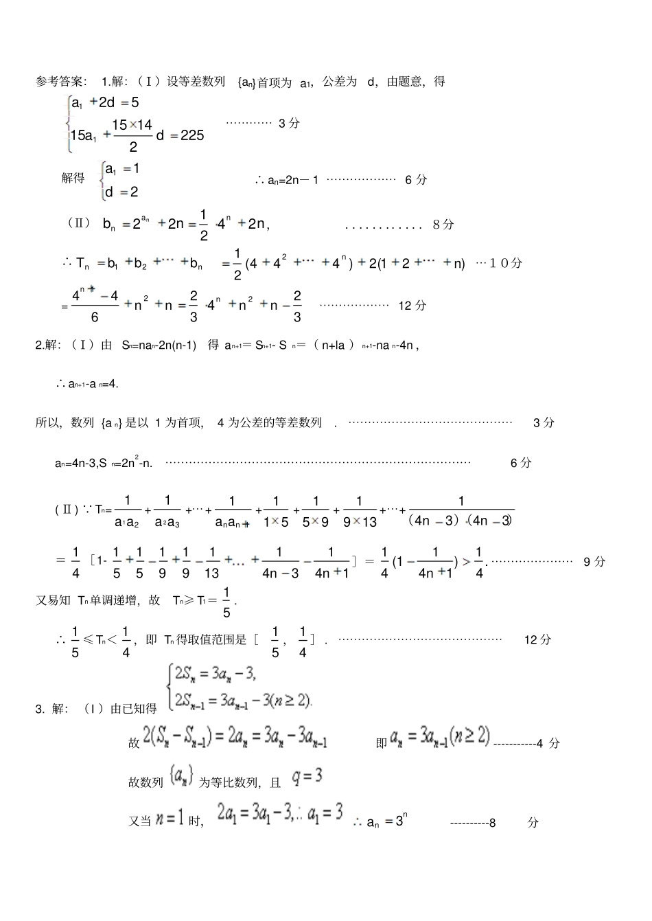
数列专项训练1.已知等差数列 {an}的前 n 项和为 Sn,且 a3=5,S15=225. (Ⅰ)求数列 {an}的通项 an;(Ⅱ)设 bn=na2+2n,求数列 {b n}的前 n 项和 Tn.2.设数列{ an}的前项和为Sn,al=1,Sn=nan-2n(n- 1).(I)求证:数列 {an}为等差数列,并分别求出an,Sn 的表达式;(Ⅱ)设数列 {1aa1nn}的前 n 项和为 Tn,试求 Tn 的取值范围.3. 已 知 数 列的 各 项 均 为 正 数 ,为 其 前项 和 , 对 于 任 意 的, 满 足 关 系 式(I)求数列的通项公式;(Ⅱ)设数列的通项公式是331loglog1nnnbaa,前项和为,求证:对于任意的正整数,总有4. 已知:数列 {an}的前 n 项和为3,1aSn且当 n≥2 n∈ N+满足 Sn-1 是 an 与-3 的等差中项 . (1) 求 a2,a3,a4;(2) 求数列 { an }的通项公式 . 5. 18 .已知等差数列}{na中,82a,前 10 项和18510S. (1)求数列}{na的通项公式(2)若从数列}{na中依次取出第2,4,8,⋯ , n2 , ⋯项,按原来的顺序排成一个新的数列,试求新数列的前n 项和nA . 6. 已知数列中,,,.(Ⅰ)证明数列是等比数列,并求出数列的通项公式;(Ⅱ)记,数列的前项和为,求使的的最小值.7. 设数列na的前刀项和nS ,已知1a =1,nS =)1(nnnan( n =1,2,3,⋯ ) . (I)求证:数列na为等差数列,并求na的通项公式; (Ⅱ) 若数列11nnaa前 n 项和为2010999nT的最小正整数n 是多少?8. 已知点( 1, 13)是函数f(x)=ax(a>0,且 a≠1)的图象上一点,等比数列{ an} 的前 n 项和为f(n)- c,数列 {bn} (bn>0)的首项为c,且前 n 项和 Sn 满足11nnSS(n≥2)(1)求数列 { an} 和{ bn} 的通项公式;(2)若数列 {11nnb b} 前 n 项和为 Tn,问 Tn> 10002009的最小正整数n 是多少?9.数列}{na的前 n 项和nS 满足nS -1nS=nS +1nS(2n),11a. (1)证明:数列}{nS是等差数列 . 并求数列}{na的通项公式;(2)若11nnnaab,nnbbbT21,求证:21nT. 10.已知数列na的前 n 项和为nS ,点 ( ,)()nn SnN在函数xxxf23)(2的图象上,(1)求数列na的通项公式;(2)设13nnnaab,求数列nb的前 n 项和nT .11. 已知数列 {an},的各项均是正数,其前n 项和为 Sn,满足 (p- 1)Sn,=P2- an,其中 P 为正常数,且P≠1.(Ⅰ)求数列 {an}的通项公式;(Ⅱ)设 bn= np alog21(n∈ N*),数列 {bnbn+...

1、当您付费下载文档后,您只拥有了使用权限,并不意味着购买了版权,文档只能用于自身使用,不得用于其他商业用途(如 [转卖]进行直接盈利或[编辑后售卖]进行间接盈利)。
2、本站所有内容均由合作方或网友上传,本站不对文档的完整性、权威性及其观点立场正确性做任何保证或承诺!文档内容仅供研究参考,付费前请自行鉴别。
3、如文档内容存在违规,或者侵犯商业秘密、侵犯著作权等,请点击“违规举报”。

碎片内容

数列专项练习

文库响当当+ 关注
实名认证
内容提供者

该用户很懒,什么也没介绍

确认删除?
VIP
微信客服
  • 扫码咨询
会员Q群
  • 会员专属群点击这里加入QQ群
客服邮箱
回到顶部