电脑桌面
添加小米粒文库到电脑桌面
安装后可以在桌面快捷访问

2014山东一本投档线排序版理科VIP免费

2014山东一本投档线排序版理科_第1页
1/16
2014山东一本投档线排序版理科_第2页
2/16
2014山东一本投档线排序版理科_第3页
3/16
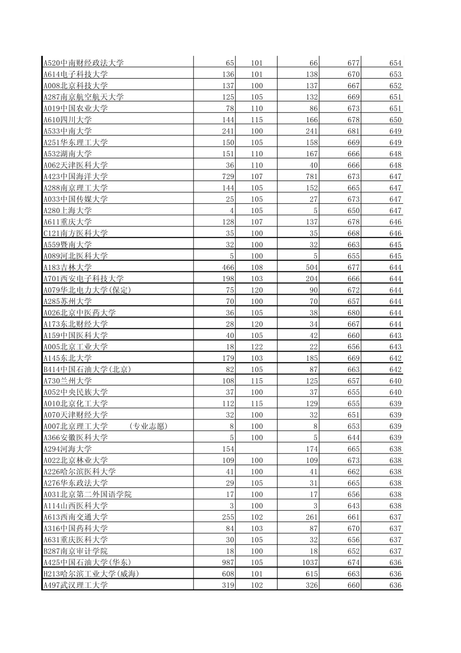
2014山东一本投档线排序版理科计划数投档比例投出数最高分最低分A001北京大学 2210022728701A003清华大学 7010070734699A246复旦大学 22#25700694A248上海交通大学 4310043701693H001北京大学医学部 2012024701693E430中国科学院大学 3510035701690A358中国科学技术大学 3510035697689H246复旦大学医学院 7#7691686H248上海交通大学医学院1010010690685A335浙江大学 8110081697684A002中国人民大学 3110031700684A284南京大学 4510045691682A006北京航空航天大学 125#149691680A055南开大学 6710067688678A034中央财经大学 4911054694678A272上海财经大学 3912047690678A247同济大学 108100108693675A036对外经济贸易大学 3210032686675A213哈尔滨工业大学 6910170684672A030北京外国语大学 61006679672A698西安交通大学 118103122687671A486武汉大学 143101145688670A007北京理工大学 105120126682670A056天津大学 106105112688668A487华中科技大学 133100133686667A384厦门大学 115100115687666A013北京邮电大学 89120107684666A286东南大学 127100127686665A558中山大学 123102126685664A053中国政法大学 3610137682663A034中央财经大学 (专业志愿)1010010676663A269华东师范大学 5010553669662A141大连理工大学 178115205675660A561华南理工大学 5310556675660A025首都医科大学 3310334677659A271上海外国语大学 1313016671659A004北京交通大学 102110113674658A651西南财经大学 4710248677657H002中国人民大学(苏州校区)(中外合作)31104668657A030北京外国语大学 (中外合作)41004667656A422山东大学 1554#1563687655A054华北电力大学(北京)7311584680655A699西北工业大学 125110138678654理科院校A520中南财经政法大学 6510166677654A614电子科技大学 136101138670653A008北京科技大学 137100137667652A287南京航空航天大学 125105132669651A019中国农业大学 7811086673651A610四川大学 144115166678650A533中南大学 241100241681649A251华东理工大学 150105158669649A532湖南大学 151110167666648A062天津医科大学 3611040666648A423中国海洋大学 729107781673647A288南京理工大学 144105152665647A033中国传媒大学 2510527673647A280上海大学 41055650647A611重庆大学 128107137678646C121南方医科大学 3510035668646A559暨南大学 3210032663645A089河北医科大学 51005655645A18...

1、当您付费下载文档后,您只拥有了使用权限,并不意味着购买了版权,文档只能用于自身使用,不得用于其他商业用途(如 [转卖]进行直接盈利或[编辑后售卖]进行间接盈利)。
2、本站所有内容均由合作方或网友上传,本站不对文档的完整性、权威性及其观点立场正确性做任何保证或承诺!文档内容仅供研究参考,付费前请自行鉴别。
3、如文档内容存在违规,或者侵犯商业秘密、侵犯著作权等,请点击“违规举报”。

碎片内容

2014山东一本投档线排序版理科

小辰+ 关注
实名认证
内容提供者

出售各种文档和资料

确认删除?
VIP
微信客服
  • 扫码咨询
会员Q群
  • 会员专属群点击这里加入QQ群
客服邮箱
回到顶部