电脑桌面
添加小米粒文库到电脑桌面
安装后可以在桌面快捷访问

正弦定理练习题VIP免费

正弦定理练习题_第1页
1/5
正弦定理练习题_第2页
2/5
正弦定理练习题_第3页
3/5
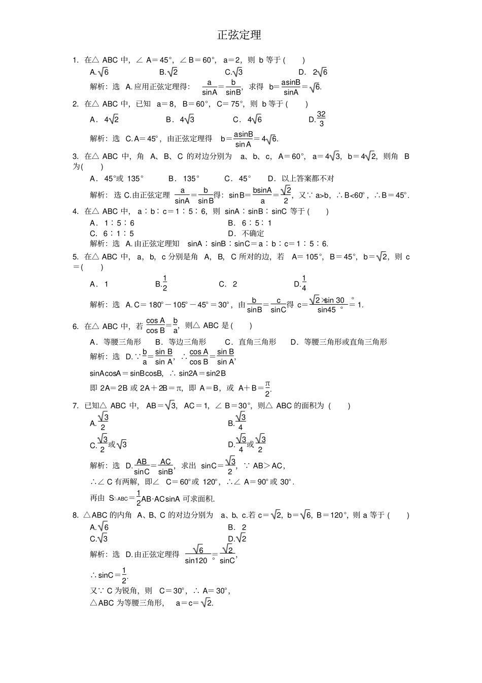
正弦定理练习题1.在△ ABC 中,∠ A=45°,∠ B=60°, a=2,则 b 等于 () A.6B.2 C. 3 D. 2 6 2.在△ ABC 中,已知 a=8,B=60°,C= 75°,则 b 等于 () A.4 2 B.4 3 C.4 6 D.3233.在△ ABC 中,角 A、B、C 的对边分别为a、b、c,A=60°, a=43,b=42,则角 B为() A.45°或 135°B.135°C.45°D.以上答案都不对4.在△ ABC 中, a∶b∶c=1∶5∶6,则 sinA∶sinB∶sinC 等于 () A.1∶5∶6B.6∶5∶1 C.6∶ 1∶5 D.不确定5.在△ ABC 中, a,b,c 分别是角 A,B,C 所对的边,若A= 105°,B=45°,b=2,则 c=() A.1 B.12C.2 D.146.在△ ABC 中,若cos Acos B=ba,则△ ABC 是 () A.等腰三角形B.等边三角形C.直角三角形D.等腰三角形或直角三角形7.已知△ ABC 中, AB=3,AC=1,∠ B=30°,则△ ABC 的面积为 () A.32B.34C.32 或3 D.34 或328.△ABC 的内角 A、B、C 的对边分别为a、b、c.若 c=2,b=6,B=120°,则 a 等于 () A.6 B.2 C. 3 D.2 9.在△ ABC 中,角 A、B、C 所对的边分别为a、b、c,若 a=1,c=3,C=π3,则 A=________. 10.在△ ABC 中,已知 a=4 33 ,b=4,A=30°,则 sinB=________. 11.在△ ABC 中,已知∠ A=30°,∠ B= 120°,b= 12,则 a+c=________. 12.在△ ABC 中, a=2bcosC,则△ ABC 的形状为 ________.13.在△ ABC 中,A=60°,a= 6 3,b=12,S△ ABC=183,则a+b+ csinA+sinB+sinC= ________,c=________. 14.已知△ ABC 中,∠ A∶∠ B∶∠ C=1∶ 2∶3,a=1,则a-2b+csin A-2sin B+sin C= ________. 15.在△ ABC 中,已知 a=3 2,cosC=13,S△ABC=43,则 b=________. 16.在△ ABC 中, b=43,C=30°,c=2,则此三角形有________组解.17.△ ABC 中, ab=603,sin B=sin C,△ ABC 的面积为 153,求边 b 的长.正弦定理1.在△ ABC 中,∠ A=45°,∠ B=60°, a=2,则 b 等于 () A.6B.2 C. 3 D. 2 6 解析:选 A. 应用正弦定理得:asinA=bsinB,求得 b=asinBsinA =6. 2.在△ ABC 中,已知 a=8,B=60°,C= 75°,则 b 等于 () A.4 2 B.4 3 C.4 6 D.323解析:选 C.A=45° ,由正弦定理得b=asinBsin...

1、当您付费下载文档后,您只拥有了使用权限,并不意味着购买了版权,文档只能用于自身使用,不得用于其他商业用途(如 [转卖]进行直接盈利或[编辑后售卖]进行间接盈利)。
2、本站所有内容均由合作方或网友上传,本站不对文档的完整性、权威性及其观点立场正确性做任何保证或承诺!文档内容仅供研究参考,付费前请自行鉴别。
3、如文档内容存在违规,或者侵犯商业秘密、侵犯著作权等,请点击“违规举报”。

碎片内容

正弦定理练习题

您可能关注的文档

确认删除?
VIP
微信客服
  • 扫码咨询
会员Q群
  • 会员专属群点击这里加入QQ群
客服邮箱
回到顶部