电脑桌面
添加小米粒文库到电脑桌面
安装后可以在桌面快捷访问

氧化还原反应方程式配平练习题目及答案详解VIP免费

氧化还原反应方程式配平练习题目及答案详解_第1页
1/8
氧化还原反应方程式配平练习题目及答案详解_第2页
2/8
氧化还原反应方程式配平练习题目及答案详解_第3页
3/8
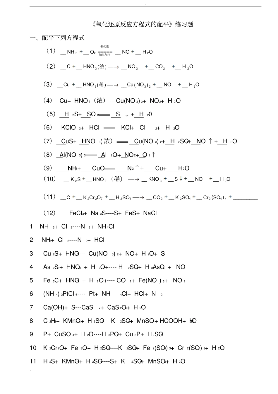
. . 《氧化还原反应方程式的配平》练习题一、配平下列方程式(1)23____ONH催化剂加温加压OHNO2____(2)OHCONOHNOC2223______)(____浓(3)OHNONOCuHNOCu2233____)(__)(____稀(4) Cu+ HNO 3(浓) ---Cu(NO 3) 2+ NO 2+ H 2O (5) H2S+ SO 2 S ↓+ H20 (6) KClO3+ HCl KCl+ Cl2+ H2O (7) CuS+ HNO3( 浓) Cu(NO 3) 2+ H2SO4+ NO ↑+ H2O (8) Al(NO3) 3 Al2O3+ NO 2+ O 2↑(9) NH3+ CuO N2↑+ Cu+ H2O (10)32____HNOSK(稀)OHNOSKNO23________(11)_________)(____________44242242722SOCrSOKCOSOHOCrKC(12)FeCl3+ Na 2S----S+ FeS+ NaCl 1 NH3+ Cl2----N2+ NH 4Cl 2 NH3+ Cl2----N2+ HCl 3 Cu 2S+ HNO3--- Cu(NO3) 2+ NO+ H 2O+ S 4 As2S3+ HNO3 + H2O+---- H2SO4+ H 3AsO4 + NO 5 Fe3C+ HNO3 + H2O+---- CO2+ Fe(NO ) 3+ NO 26 (NH 4) 2PtCl 6---- Pt+ NH4Cl+ HCl+ N27 Ca(OH)+ S---CaSx+ CaS 2O3+ H 2O 8 C 2H2+ KMnO4+ H 2SO4-- K2SO4+ MnSO4+ HCOOH+ H2O 9 P+ CuSO 4+ H 2O----H3PO4+ Cu 3P+ H 2SO410 K 2Cr2O7+ Fe3O4+ H 2SO4----K2SO4+ Fe2(SO4) 3+ Cr2(SO4) 3+ H 2O 11 H 2S+ KMnO4+ H 2SO4----S+ K2SO4+ MnSO4+ H 2O . . 12 BaSO3+ HNO3 -----BaSO4+ NO+ H 2O 13 Fe(OH)2+ HNO3 ----- Fe(NO) 3+ NO+ H2O 14 FeS 2+ HNO 3 ----- Fe(NO) 3+ S+ NO+ H2O 15 Zn+ HNO 3----Zn(NO3) 2+ N 2O+ H2O 16 Zn+ HNO 3----Zn(NO3) 2+ NH 4NO3+ H 2O 17 FeSO4+ KNO3+ H 2SO4---- K2SO4+ Fe2(SO4) 3+ NO+ H 2O 二、缺项配平方法:缺项的氧化还原方程式配平时,先用化合价升降法配出发生氧化还原的系数,再观察两端,通过比较反应物与生成物, 观察增减的原子或离子数, 确定未知物并配平 ( 元素守恒和电荷守恒 ) 一般为酸、碱、 H2O。1、KMnO4+ KNO2+ [ ]=== MnSO4+ K2SO4+ KNO3+ H2O 2、MnO4- + Cl-+ [ ] === Mn2++ Cl2↑+ H2O 3、P + KOH+ [ ] === KH2PO4 + PH3 4、MnO4- + NO 2-+ [ ] === MnO42- + NO3- + H2O 5、KI+ KIO3+ [ ] === I2+ K2SO4+ H2O 第四节《氧化还原反应方程式的配平》练习题()1、在反应2H2S+SO23S↓+2H20 中,被氧化与被还原的硫元素的...

1、当您付费下载文档后,您只拥有了使用权限,并不意味着购买了版权,文档只能用于自身使用,不得用于其他商业用途(如 [转卖]进行直接盈利或[编辑后售卖]进行间接盈利)。
2、本站所有内容均由合作方或网友上传,本站不对文档的完整性、权威性及其观点立场正确性做任何保证或承诺!文档内容仅供研究参考,付费前请自行鉴别。
3、如文档内容存在违规,或者侵犯商业秘密、侵犯著作权等,请点击“违规举报”。

碎片内容

氧化还原反应方程式配平练习题目及答案详解

确认删除?
VIP
微信客服
  • 扫码咨询
会员Q群
  • 会员专属群点击这里加入QQ群
客服邮箱
回到顶部