电脑桌面
添加小米粒文库到电脑桌面
安装后可以在桌面快捷访问

江苏徐州区联校2017-2018学年七年级数学上学期期中联考试题苏科版

江苏徐州区联校2017-2018学年七年级数学上学期期中联考试题苏科版_第1页
1/7
江苏徐州区联校2017-2018学年七年级数学上学期期中联考试题苏科版_第2页
2/7
江苏徐州区联校2017-2018学年七年级数学上学期期中联考试题苏科版_第3页
3/7
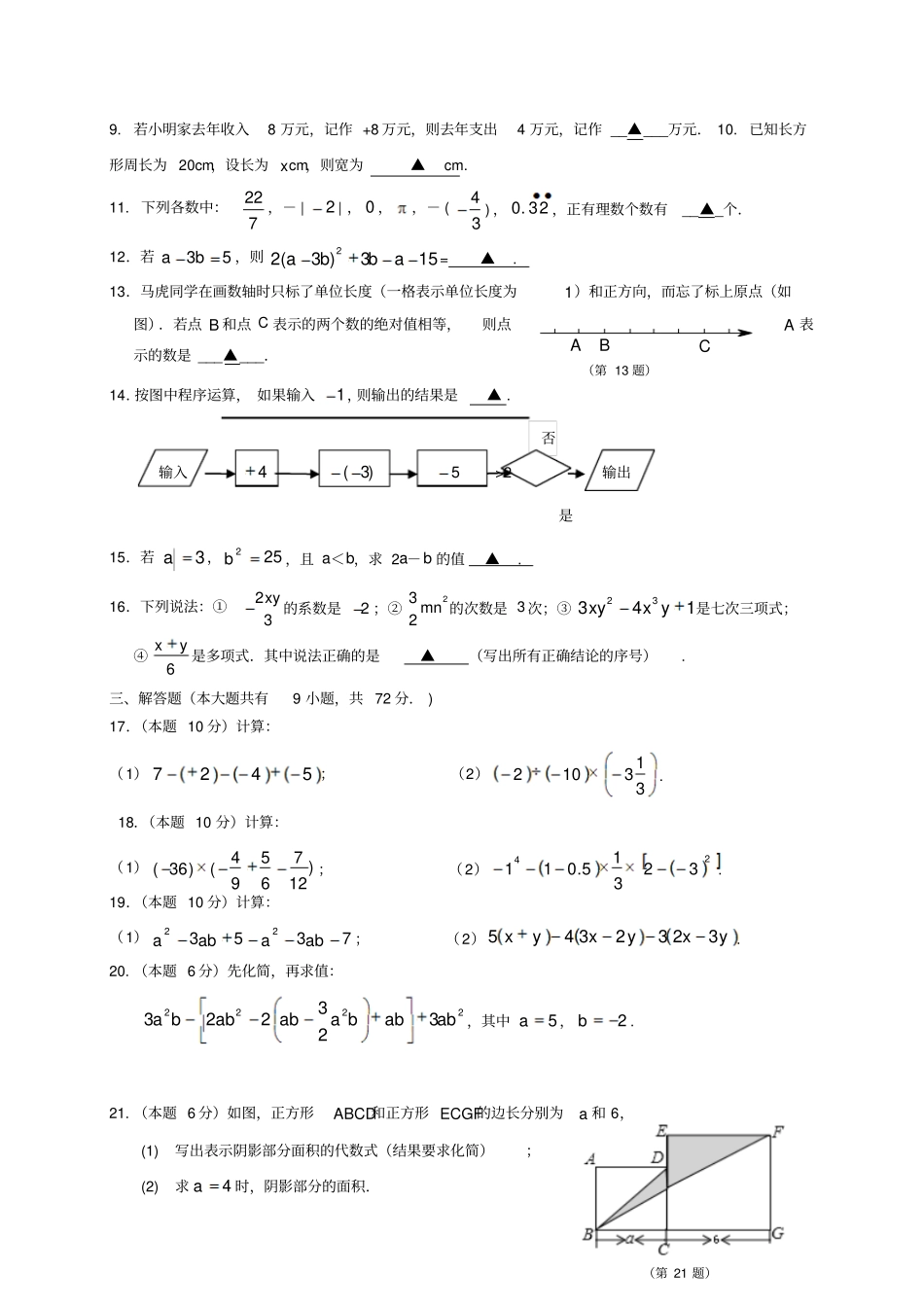
江苏省徐州市区联校2017-2018 学年七年级数学上学期期中联考试题(本卷共 4 页,满分为120 分,考试时间90 分钟;请将答案写在答题纸上)一、选择题 (每题 3 分,共 24 分 . 在每题给出的四个选项中,有且只有一项是正确的,请将正确选项前的字母代号填涂在答题卡相应位置上) 1.1.在2 ,12, 0 , 2 四个数中,最大的数是 A .2 B.12 C. 0 D. 22.如图,检测4 个足球,其中超过标准质量的克数记为正数,不足标准质量的克数记为负数,从轻重的角度看,最接近标准的是A. B. C . D .3.某市一天最高气温为2 ℃,最低气温为8 ℃,那么这天的日温差是A. 10℃ B. 6 ℃ C.6 ℃ D.10 ℃4.我国倡导的 “一带一路” 建设将促进我国与世界上的一些国家的互利合作,根据规划 “一带一路”地区覆盖总人口为4400000000 ,这个数用科学记数法表示为A.84410 B.84.410 C.94.410 D.104.4105.两个有理数的和为负数,那么这两个数一定A.都是负数 B.绝对值不相等 C.有一个是0 D.至少有一个负数6.绝对值不大于3 的所有整数的和是A.﹣ 1 B.0 C.1 D.6 7.实数 a 、 b 在数轴上的位置如图所示,下列结论正确的是A. abba B.ababC.baab D.abba8.设面积为3 的正方形的边长为a .下列关于 a 的四种说法:①a 是有理数;② a 是无理数;③ a可以用数轴上的一个点来表示;④ 1 < a< 2.其中说法正确的是A.①③ B.②④ C.①③④ D.②③④二、填空题(本大题有8 小题,每小题3 分,共 24 分.不需写出解答过程,请把答案直接填写在答题卡相应位置上) a0 b(第 7 题)否9. 若小明家去年收入8 万元,记作 +8 万元,则去年支出4 万元,记作 __▲___万元. 10. 已知长方形周长为 20cm,设长为 xcm,则宽为▲ cm. 11. 下列各数中:722 ,- |2 | , 0 ,,- (34) ,23.0,正有理数个数有__▲_个.12.若35ab,则22(3 )315abba= ▲ . 13.马虎同学在画数轴时只标了单位长度(一格表示单位长度为1)和正方向,而忘了标上原点(如图).若点 B 和点 C 表示的两个数的绝对值相等,则点A 表示的数是 ___▲___.14.按图中程序运算, 如果输入1,则输出的结果是▲ . 输入4)3(5 >2 输出是15.若3a,252b,且 a<b,求 2a-b 的值▲ . 16.下列说法:①23xy 的系数是2 ;②232mn 的次数是 3 次;③14332yxxy是七次三项式...

1、当您付费下载文档后,您只拥有了使用权限,并不意味着购买了版权,文档只能用于自身使用,不得用于其他商业用途(如 [转卖]进行直接盈利或[编辑后售卖]进行间接盈利)。
2、本站所有内容均由合作方或网友上传,本站不对文档的完整性、权威性及其观点立场正确性做任何保证或承诺!文档内容仅供研究参考,付费前请自行鉴别。
3、如文档内容存在违规,或者侵犯商业秘密、侵犯著作权等,请点击“违规举报”。

碎片内容

江苏徐州区联校2017-2018学年七年级数学上学期期中联考试题苏科版

爱的疯狂+ 关注
实名认证
内容提供者

该用户很懒,什么也没介绍

确认删除?
VIP
微信客服
  • 扫码咨询
会员Q群
  • 会员专属群点击这里加入QQ群
客服邮箱
回到顶部