电脑桌面
添加小米粒文库到电脑桌面
安装后可以在桌面快捷访问

江苏苏州大学有机试卷09

江苏苏州大学有机试卷09_第1页
1/4
江苏苏州大学有机试卷09_第2页
2/4
江苏苏州大学有机试卷09_第3页
3/4
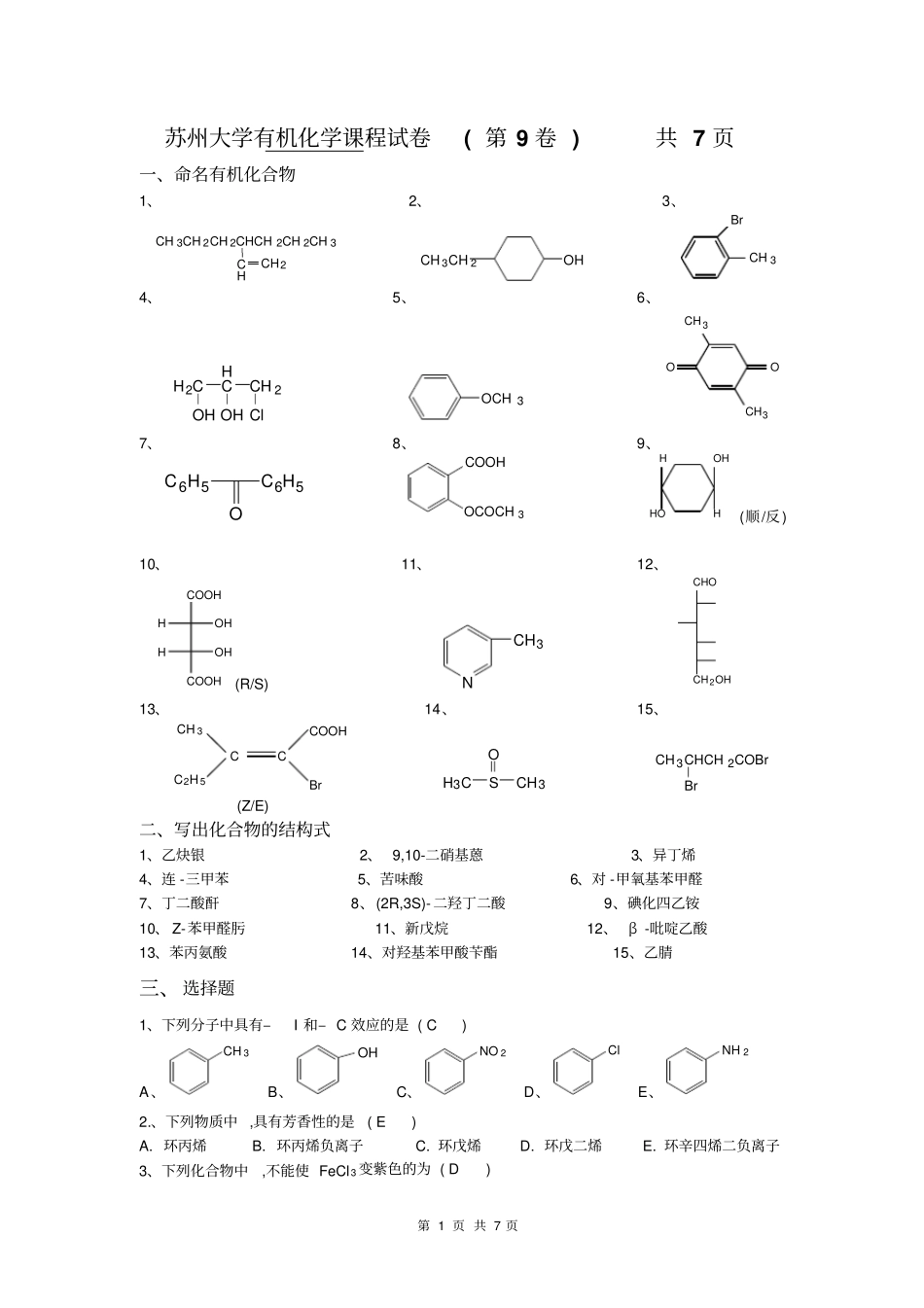
第 1 页 共 7 页苏州大学有机化学课程试卷( 第 9 卷 ) 共 7 页一、命名有机化合物1、2、3、CH 3CH 2CH 2CHCH 2CH 2CH 3CHCH2OHCH 3CH 2CH 3Br4、5、6、H2CHCCH 2OHOHClOCH 3OOCH3CH 37、8、9、C6H5OC6H5COOHOCOCH 3OHHHHO(顺/反) 10、11、12、COOHOHHOHHCOOH(R/S) NCH3CHOCH2OH13、14、15、CCH 3CC2H 5COOHBrSOCH3H3CCH3CHCH 2COBrBr(Z/E) 二、写出化合物的结构式1、乙炔银2、 9,10-二硝基蒽3、异丁烯4、连 -三甲苯5、苦味酸6、对 -甲氧基苯甲醛7、丁二酸酐8、(2R,3S)- 二羟丁二酸9、碘化四乙铵10、 Z-苯甲醛肟11、新戊烷12、 β -吡啶乙酸13、苯丙氨酸14、对羟基苯甲酸苄酯15、乙腈三、 选择题1、下列分子中具有–I 和– C 效应的是 ( C ) A、CH 3B、OHC、NO 2D、ClE、NH 22.、下列物质中 ,具有芳香性的是( E ) A. 环丙烯B. 环丙烯负离子C. 环戊烯D. 环戊二烯E. 环辛四烯二负离子3、下列化合物中,不能使 FeCl3 变紫色的为 ( D ) 第 2 页 共 7 页A. OHB. OHCOOHC. OHOHD. HOOCCH2COOHE. CH 3COCH 2COOC 2H 5 4、下列化合物中,在水中溶解度最大的是( E ) A. (CH 3CH 2)2O B. CH 3(CH 2)2CH2OH C. HOCH 2(CH 2)2CH 2OH D. CH 3(CH 2)2CH3E. CH 3CHOHCHOHCH2OH 5、最易发生分子内脱水的醇是( D ) A. CH 3(CH 2)2CH 2OHB.CH3CHCH 2CH 3OHC.CH3CHCH 2OHCH3D. (CH 3)3COHE. C 6H 5CH 2OH6、能起歧化反应(Cannizzaro 反应 )的化合物是 ( D ) A. 2- 甲基丙醛B. 乙醛C. 2-戊酮D. α - 呋喃甲醛E.呋喃甲醇7、要从丙酮中检出丙醛,可使用试剂 ( A ) A. 斐林试剂B. 2,4-二硝基苯肼C. 碘的碱溶液D. 亚硫酸氢钠溶液E. NaHSO 3 饱和溶液8、下列化合物中,最容易发生水解反应的是( D ) A. CH 3CH2 CH 2COOH B. (CH 3CO) 2O C. CH 3COOCH 2CH3D. CH 3CH2CH2COClE. CH 3CH2CH2CH2Cl 9、下列化合物中酸性最小的是( D ) A. CH3(CH2)3COOH B. HOOC(CH 2)3COOH C. CH3CHCH 3CH2COOHD. (CH 3)3CCOOHE. C6H 5COOH 10、丁烷最稳定的构象是( C ) A. 部分重叠B. 邻位交叉C.对位交叉D. 全重叠E. 部分交叉11、下例三个化合物进行亲电取代反应,其反应活性顺序为( A ) 1. N2. 3. CH 3A. 3>2>1 B. 3>1>2 C. 1>3>2 D. 2>3>1 E.2>1>312、尿素可发生的反应是( D ) A. 成...

1、当您付费下载文档后,您只拥有了使用权限,并不意味着购买了版权,文档只能用于自身使用,不得用于其他商业用途(如 [转卖]进行直接盈利或[编辑后售卖]进行间接盈利)。
2、本站所有内容均由合作方或网友上传,本站不对文档的完整性、权威性及其观点立场正确性做任何保证或承诺!文档内容仅供研究参考,付费前请自行鉴别。
3、如文档内容存在违规,或者侵犯商业秘密、侵犯著作权等,请点击“违规举报”。

碎片内容

江苏苏州大学有机试卷09

您可能关注的文档

确认删除?
VIP
微信客服
  • 扫码咨询
会员Q群
  • 会员专属群点击这里加入QQ群
客服邮箱
回到顶部