电脑桌面
添加小米粒文库到电脑桌面
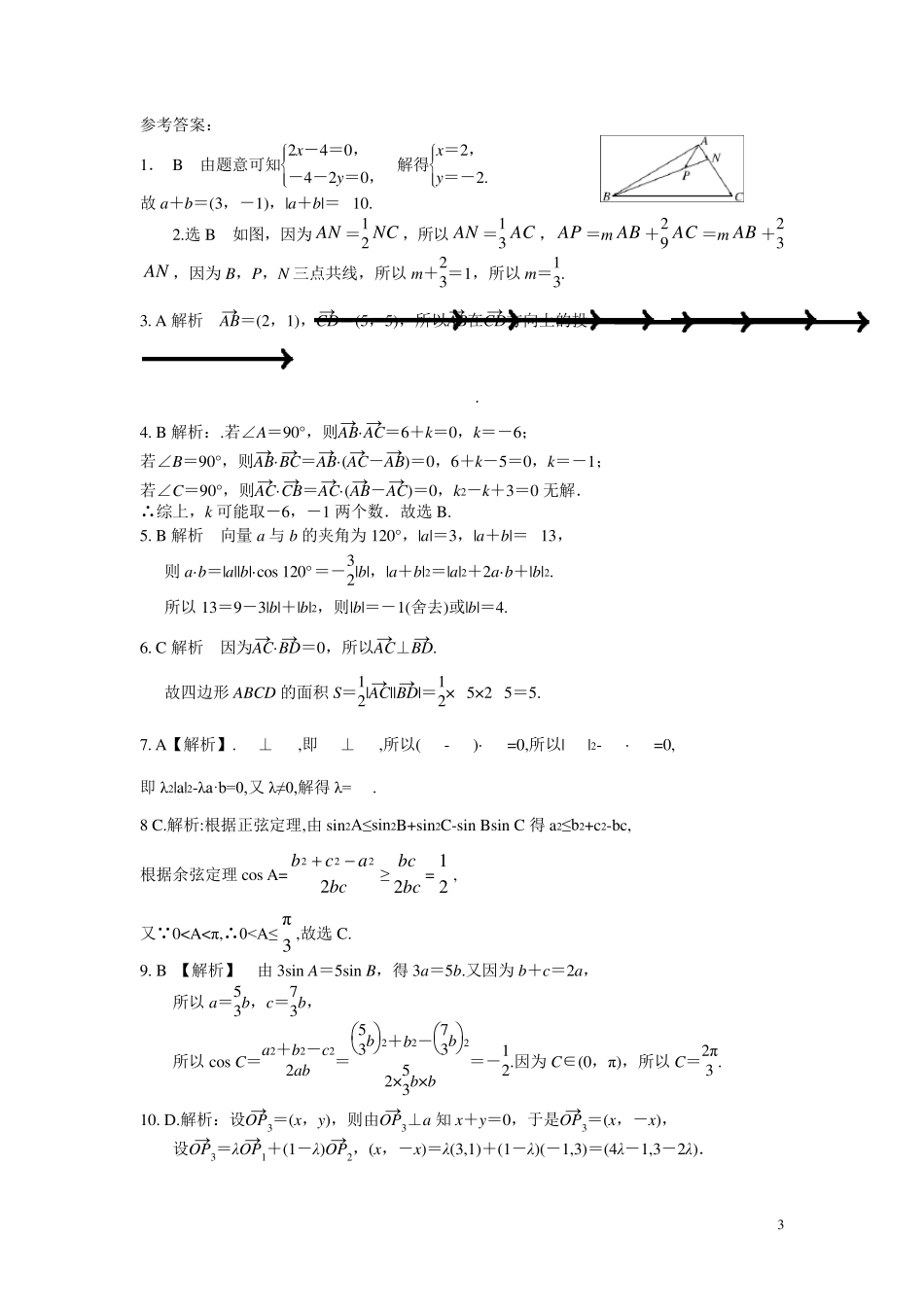
安装后可以在桌面快捷访问

平面向量与解三角形单元检测题

平面向量与解三角形单元检测题_第1页
1/6
平面向量与解三角形单元检测题_第2页
2/6
平面向量与解三角形单元检测题_第3页
3/6
1 平面向量与解三角形单元检测题 一、选择题(本大题共1 0 小题,每小题5 分,共5 0 分.在每小题给出的四个选项中,只有一项是符合题目要求的) 1.设x ,y ∈R,向量a=(x ,1),b=(1,y ),c=(2,-4),且 a⊥c, b∥c,则|a+b|=( ) A. 5 B. 10 C.2 5 D.10 2.在△ABC 中,N 是AC 边上一点,且 AN =12 NC ,P 是BN 上的一点,若 AP =m AB +29 AC ,则实数 m 的值为( ) A.19 B.13 C.1 D.3 3.已知点 A(-1,1),B(1,2),C(-2,-1),D(3,4),则向量AB→在CD→ 方向上的投影为 A.3 22 B.3 152 C.-3 22 D.-3 152 4.在直角坐标系 x Oy 中,AB→=(2,1),AC→=(3,k),若三角形ABC 是直角三角形,则 k的可能值个数是( ) A.1 B.2 C.3 D.4 5.已知向量a 与b 的夹角为 120° ,|a|=3,|a+b|= 13,则|b| 等于 ( ). A.5 B.4 C.3 D.1 6.在四边形ABCD 中,AC→=(1, 2),BD→ =(-4,2),则该四边形的面积为 A. 5 B.2 5 C. 5 D.10 7.如图所示,非零向量=a,=b,且 BC⊥OA,C 为垂足,若=λa(λ≠0),则 λ=( ) 8.在△ABC 中,sin2A≤ sin2B+sin2C-sin Bsin C,则 A 的取值范围是( ) (A)(0, π6 ] (B)[ π6,π)(C)(0, π3 ] (D)[ π3,π) 9.设△ABC 的内角A,B,C 所对边分别为 a,b,c.若 b+c=2a,3sin A=5sin B,则角C= A.π3 B.2π3 C.3π4 D.5π6 10.在平面直角坐标系中,若 O 为坐标原点,则 A,B,C 三点在同一直线上的等价条件为存在唯一的实数 λ,使得OC→ =λOA→ +(1-λ)OB→ 成立,此时称实数 λ 为“向量OC→ 关于OA→ 和OB→ 的终点共线分解系数”.若已知 P1(3, 1),P2(-1,3),且向量OP3→ 与向量a=(1,1)垂直,则“向量OP3→关于OP1→ 和OP2→ 的终点共线分解系数”为( ) A.-3 B.3 C.1 D.-1 二、填空题(本大题共5 小题,每小题5 分,共2 5 分.请把正确答案填在题中横线上) 11.在平面直角坐标系 x Oy 中,已知OA =(-1,t),OB =(2,2).若∠ABO=90° ,则实数t 的值为________. 2 12.已知a=(1,2),b=(1,λ),若a 与b 的夹角为钝角,则实数λ 的取值范围是 13.已知正方形ABCD 的边长为2,E 为CD 的中点,则AE→·BD→ =________. 14.设e1,e2 为单位向量,且e1,e2 的夹角为π3,若a=e1+3e2,b=2e1...

1、当您付费下载文档后,您只拥有了使用权限,并不意味着购买了版权,文档只能用于自身使用,不得用于其他商业用途(如 [转卖]进行直接盈利或[编辑后售卖]进行间接盈利)。
2、本站所有内容均由合作方或网友上传,本站不对文档的完整性、权威性及其观点立场正确性做任何保证或承诺!文档内容仅供研究参考,付费前请自行鉴别。
3、如文档内容存在违规,或者侵犯商业秘密、侵犯著作权等,请点击“违规举报”。

碎片内容

平面向量与解三角形单元检测题

您可能关注的文档

小辰5+ 关注
实名认证
内容提供者

出售各种资料和文档

相关文档

确认删除?
VIP
微信客服
  • 扫码咨询
会员Q群
  • 会员专属群点击这里加入QQ群
客服邮箱
回到顶部