电脑桌面
添加小米粒文库到电脑桌面
安装后可以在桌面快捷访问

积乘方练习题

积乘方练习题_第1页
1/5
积乘方练习题_第2页
2/5
积乘方练习题_第3页
3/5
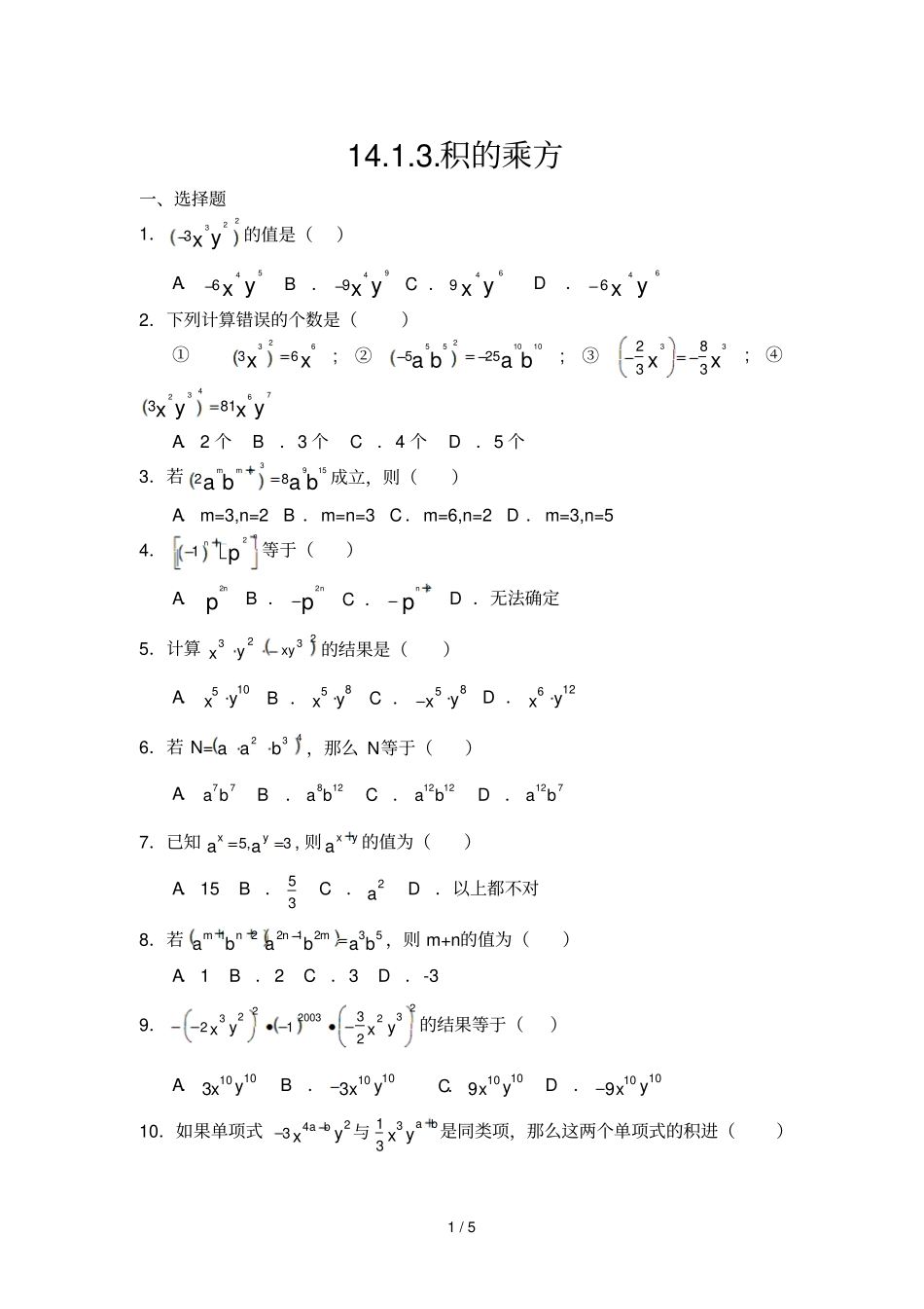
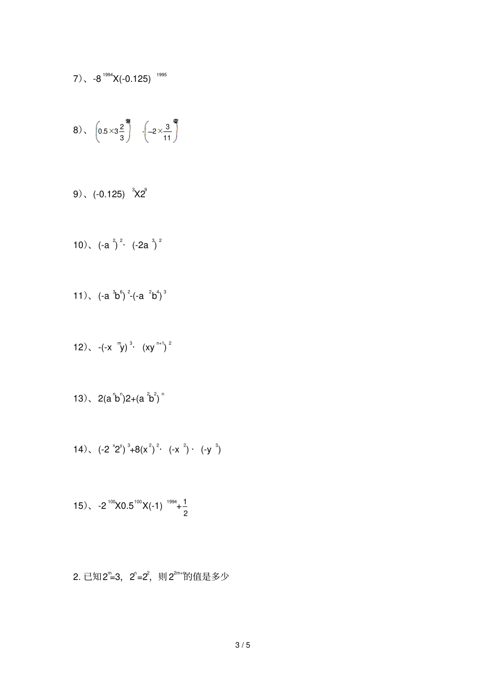
1 / 5 14.1.3.积的乘方一、选择题1.2233yx的值是()A.546yx B.949yx C .649yx D.646yx2.下列计算错误的个数是()①23636xx;②2551010525a ba b;③332833xx;④43726381yyxxA.2 个 B.3 个 C.4 个 D.5 个3.若391528mm na ba b 成立,则()A.m=3,n=2 B .m=n=3 C .m=6,n=2 D .m=3,n=5 4.211nnp等于()A.2np B .2np C .2np D .无法确定5.计算2323xyyx的结果是()A.yx105 B .yx85 C .yx85 D .yx1266.若 N=432baa,那么 N等于()A.77ba B.128ba C.1212ba D.712ba7.已知3,5 aayx, 则 ayx的值为()A.15 B.35 C. a2 D.以上都不对8.若bababamnnm5321221,则 m+n的值为()A.1 B.2 C.3 D.-3 9.23220032232312yxyx的结果等于()A.yx10103 B.yx10103C.yx10109 D.yx1010910.如果单项式yxba243与yxba331是同类项,那么这两个单项式的积进()2 / 5 A.yx46 B.yx23C.yx2338 D.yx46二、填空题( 1-13 每小题 1 分, 14 题 4 分)1.322223abbca=_______________。2.(-0.125)2=_________ 3.{-2[-(am)2]3}2=________ 4. 已知(x3)5=-a15b15,则 x=_______ 5.(0.125)1999· (-8)1999=_______ 6.__________102110423357. 化简(a2m· an+1)2· (-2a2)3 所得的结果为 ____。8.( )5=(8×8×8×8×8)(a · a· a· a· a) 9.(3a2)3+(a2)2· a2=________. 10. 如果 a≠b,且(ap)3· bp+q=a9b5 成立,则 p=____,q=_____。三、解答题1.计算1) 、(-5ab)2 2) 、-(3x2y)23)、332)311(cab4)、(0.2x4y3)25)、(-1.1xmy3m)26)、(-0.25)11X411 3 / 5 7)、-81994X(-0.125)19958)、20019911323235.09)、(-0.125)3X2910)、(-a2)2· (-2a3)211)、(-a3b6)2-(-a2b4)312)、-(-xmy)3· (xyn+1)213)、2(anbn)2+(a2b2)n14)、(-2x2y)3+8(x2)2· (-x2) · (-y3) 15)、-2100X0.5100X(-1)1994+ 122. 已知2m=3,2n=22,则 22m+n的值是多少4 / 5 3.已知8321943a,求3a 的值4.已知 105,106 ,求2310的值四、提高题1. 已知xn=5,yn=3, 求 (x2y)2n的值。2.比较大小: 218X310与210X3153. 若有理数 a,b,c 满足 (a+2c-2)2+|4b-3c-4|+|2a -4b-1|=0 ,试求 a3n+1b3n+2- c4n+2五、实际应用题1、太阳可以近似的看作是球体,如果用V、r 分别代表球的体积和半径,那么343Vr , 太阳的半径约为 6X105千米,它的体积大约是多少立方千米?( π 取3) 5 / 5 2、先阅读材料:“试判断2000 1999+1999 2000的末位数字”。解:∵2000 1999的末位数字是零,而 1999 2的末位数字是 1,则1999 2000=(1999 2)1000的末位数字是 1,∴2000 1999+1999 2000的末位数字是 1。同学们,根据阅读材料,你能否立即说出“2000 1999+1999 2000的末位数字”?有兴趣的同学,判断 21999+7 1999的末位数字是多少?

1、当您付费下载文档后,您只拥有了使用权限,并不意味着购买了版权,文档只能用于自身使用,不得用于其他商业用途(如 [转卖]进行直接盈利或[编辑后售卖]进行间接盈利)。
2、本站所有内容均由合作方或网友上传,本站不对文档的完整性、权威性及其观点立场正确性做任何保证或承诺!文档内容仅供研究参考,付费前请自行鉴别。
3、如文档内容存在违规,或者侵犯商业秘密、侵犯著作权等,请点击“违规举报”。

碎片内容

积乘方练习题

文库当当响+ 关注
实名认证
内容提供者

该用户很懒,什么也没介绍

确认删除?
VIP
微信客服
  • 扫码咨询
会员Q群
  • 会员专属群点击这里加入QQ群
客服邮箱
回到顶部