电脑桌面
添加小米粒文库到电脑桌面
安装后可以在桌面快捷访问

苏教版七年级数学下册因式分解习题

苏教版七年级数学下册因式分解习题_第1页
1/2
苏教版七年级数学下册因式分解习题_第2页
2/2
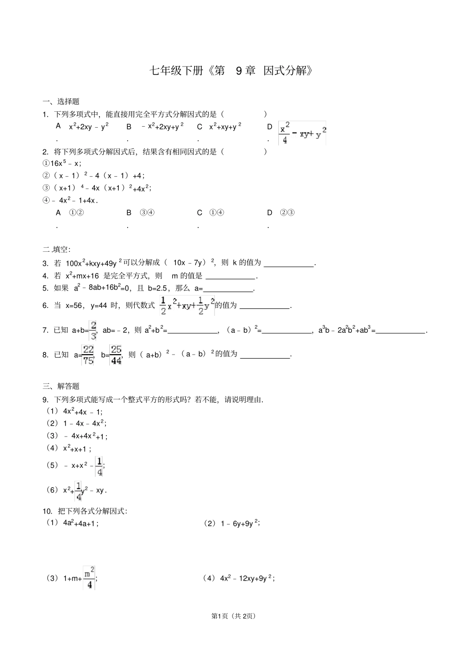
第1页(共 2页)七年级下册《第9 章 因式分解》一、选择题1.下列多项式中,能直接用完全平方式分解因式的是()A.x 2+2xy﹣y 2B.﹣x2+2xy+y 2C.x 2+xy+y 2D.2.将下列多项式分解因式后,结果含有相同因式的是()①16x 5﹣x;②( x﹣1) 2﹣4(x﹣1)+4;③( x+1) 4﹣4x(x+1 )2+4x2;④﹣ 4x2﹣1+4x.A.①②B.③④C.①④D.②③二 .填空:3.若 100x2+kxy+49y2 可以分解成( 10x﹣7y) 2,则 k 的值为.4.若 x2+mx+16 是完全平方式,则m 的值是.5.如果 a2﹣8ab+16b2=0,且 b=2.5,那么 a=.6.当 x=56,y=44 时,则代数式的值为.7.已知 a+b=,ab=﹣2,则 a2+b2=,(a﹣b)2=,a3b﹣2a2b2+ab3=.8.已知 a=,b=,则( a+b)2﹣( a﹣b) 2 的值为.三、解答题9.下列多项式能写成一个整式平方的形式吗?若不能,请说明理由.(1)4x2+4x ﹣1;(2)1﹣4x﹣4x2;(3)﹣ 4x+4x 2+1;(4)x 2+x+1 ;(5)﹣ x+x 2﹣;(6)x 2+y2﹣xy.10.把下列各式分解因式:(1)4a2+4a+1;(2)1﹣6y+9y 2;(3)1+m+;(4)4x2﹣12xy+9y 2;第2页(共 2页)(5)++n2;(6)( x+y) 2﹣10( x+y)+25;(7)( x﹣y) 2+4xy .11、( 1)已知 x+y=4 ,xy=2 ,求 2x3y+4x 2y2+2xy 3 的值;(2)已知 x=,化简并计算:(1﹣2x) 2(2x+1) 2﹣( 3+2x) 2( 3﹣2x)2.12、已知 a2﹣2a+b2+4b+5=0 ,求( a+b)2012的值.

1、当您付费下载文档后,您只拥有了使用权限,并不意味着购买了版权,文档只能用于自身使用,不得用于其他商业用途(如 [转卖]进行直接盈利或[编辑后售卖]进行间接盈利)。
2、本站所有内容均由合作方或网友上传,本站不对文档的完整性、权威性及其观点立场正确性做任何保证或承诺!文档内容仅供研究参考,付费前请自行鉴别。
3、如文档内容存在违规,或者侵犯商业秘密、侵犯著作权等,请点击“违规举报”。

碎片内容

苏教版七年级数学下册因式分解习题

文库响当当+ 关注
实名认证
内容提供者

该用户很懒,什么也没介绍

确认删除?
VIP
微信客服
  • 扫码咨询
会员Q群
  • 会员专属群点击这里加入QQ群
客服邮箱
回到顶部