电脑桌面
添加小米粒文库到电脑桌面
安装后可以在桌面快捷访问

数列、排列组合、二项式定理、概率统计知识点总结

数列、排列组合、二项式定理、概率统计知识点总结_第1页
1/9
数列、排列组合、二项式定理、概率统计知识点总结_第2页
2/9
数列、排列组合、二项式定理、概率统计知识点总结_第3页
3/9
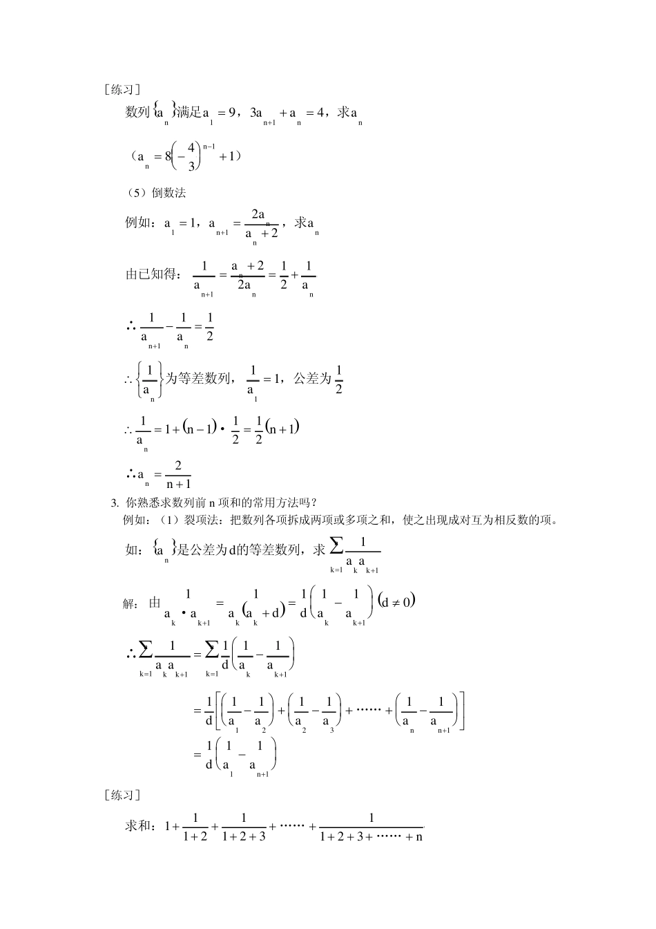
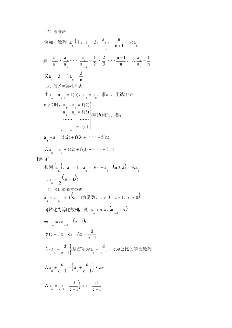
数列及排列组合二项式定理知识点总结 1. 等比数列的定义与性质 定义: (为常数,),aaq qqaa qnnnn1110 等比中项:、、成等比数列,或x GyGxyGxy 2 前项和:(要注意)nSnaqaqqqnn111111()()!  性质:是等比数列an ()若,则··1mnp qaaaamnpq (), , „„仍为等比数列2232SSSSSnnnnn (3)(时,,时,)naSnaSSnnn12111 2. 你熟悉求数列通项公式的常用方法吗? 例如:(1)求差(商)法  如:满足„„aaaannnn121212251122 解:naa 1122151411时,,∴ naaannn 2121212215212211时,„„   12122得:nna ∴ann21 ∴annnn141221()() [练习]  数列满足,,求aSSaaannnnn111534 (注意到代入得:aSSSSnnnnn1114  又,∴是等比数列,SSSnnn144 naSSnnnn23411时,„„· (2)叠乘法  例如:数列中,,,求aaaannannnn1131 解:aaaaaannaannnn213211122311·„„·„„,∴ 又,∴aann133 (3)等差型递推公式 由,,求,用迭加法aaf naaannn110( ) naafaafaaf nnn22321321时,„„„„两边相加,得:( )( )( ) aafff nn 123( )( )( )„„ ∴„„aafff nn 023( )( )( ) [练习]  数列,,,求aaaanannnnn111132 ()ann12 31 (4)等比型递推公式 acad cdccdnn1010、 为常数,,, 可转化为等比数列,设 axc axnn1 acacxnn 11 令,∴()cxdxdc11 ∴是首项为,为公比的等比数列adcadccn 111 ∴·adcadccnn1111 ∴aadccdcnn1111 [练习]  数列满足,,求aaaaannnn11934 ()ann84311 (5)倒数法 例如:,,求aaaaannnn11122 由已知得:1221211aaaannnn ∴11121aann 111121aan为等差数列,,公差为 11112121annn· ∴ann 21 3. 你熟悉求数列前 n 项和的常用方法吗? 例如:...

1、当您付费下载文档后,您只拥有了使用权限,并不意味着购买了版权,文档只能用于自身使用,不得用于其他商业用途(如 [转卖]进行直接盈利或[编辑后售卖]进行间接盈利)。
2、本站所有内容均由合作方或网友上传,本站不对文档的完整性、权威性及其观点立场正确性做任何保证或承诺!文档内容仅供研究参考,付费前请自行鉴别。
3、如文档内容存在违规,或者侵犯商业秘密、侵犯著作权等,请点击“违规举报”。

碎片内容

数列、排列组合、二项式定理、概率统计知识点总结

小辰+ 关注
实名认证
内容提供者

出售各种文档和资料

确认删除?
VIP
微信客服
  • 扫码咨询
会员Q群
  • 会员专属群点击这里加入QQ群
客服邮箱
回到顶部