电脑桌面
添加小米粒文库到电脑桌面
安装后可以在桌面快捷访问

数列求和题型

数列求和题型_第1页
1/9
数列求和题型_第2页
2/9
数列求和题型_第3页
3/9
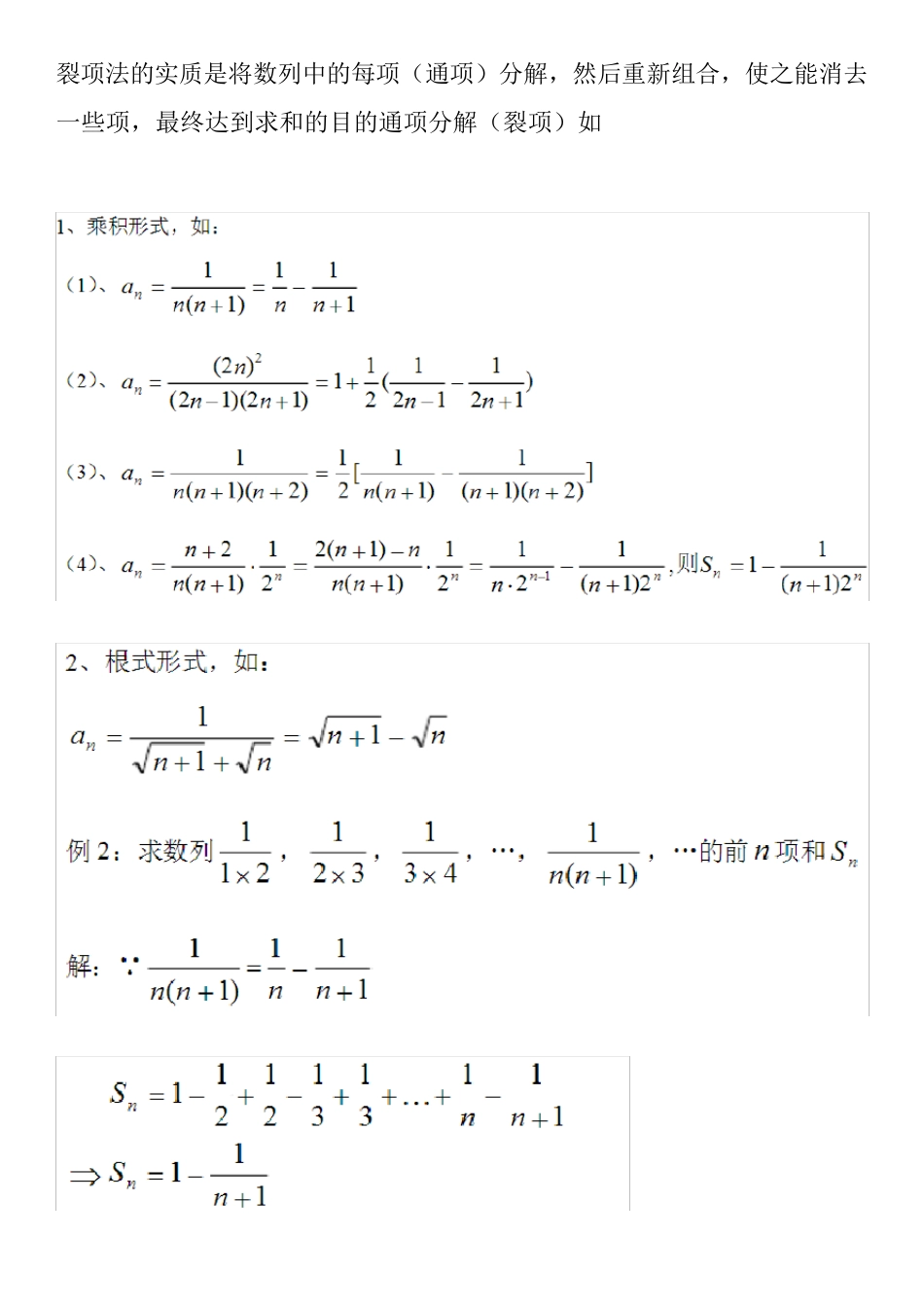
数列求和的常用方法 第一类:公式法 第二类:乘公比错项相减(等差X 等比) 这种方法是在推导等比数列的前n 项和公式时所用的方法,这种方法主要用于求数列{anbn}的前n 项和,其中{an}{bn}分别是等差数列和等比数列。 第三类:裂项相消法 这是分解与组合思想在数列求和中的具体应用。 裂项法的实质是将数列中的每项(通项)分解,然后重新组合,使之能消去一些项,最终达到求和的目的通项分解(裂项)如 解析:要先观察通项类型,在裂项求和时候,尤其要注意:究竟是像例2 一样剩下首尾两项,还是像例3 一样剩下四项。 第四类:倒序相加法 这是推导等差数列的前n 项和公式时所用的方法,就是将一个数列倒过来排列(反序),再把它与原数列相加,就可以得到 n 个(a1+an) . 数列吗?是证明你的结论; 解析:此类型关键是抓住数列中与首末两端等距离的两项之和相等这一特点来进行倒序相加的。 此例题不仅利用了倒序相加法,还利用了裂项相消法。在数列问题中,要学会灵活应用不同的方法加以求解。 第五类:分组求和法 有一类数列,既不是等差数列,也不是等比数列,若将这类数列适当拆开,可分为几个等差、等比或常见的数列,然后分别求和,再将其合并即可。 第六类:拆项求和法 在这类方法中,我们先研究通项,通项可以分解成几个等差或等比数列的和或差的形式,再代入公式 求和. 例7:求数列9,99,999,… 的前 n 项和 sn . 分析:此数列也既不是等差数列也不是等比数列启发学生先归纳出通项公式an=10n-1 可转化为一个等比数列与一个常数列。分别求和后再相加。 解析:根据通项的特点,通项可以拆成两项或三项的常见数列,然后再分别求和.

1、当您付费下载文档后,您只拥有了使用权限,并不意味着购买了版权,文档只能用于自身使用,不得用于其他商业用途(如 [转卖]进行直接盈利或[编辑后售卖]进行间接盈利)。
2、本站所有内容均由合作方或网友上传,本站不对文档的完整性、权威性及其观点立场正确性做任何保证或承诺!文档内容仅供研究参考,付费前请自行鉴别。
3、如文档内容存在违规,或者侵犯商业秘密、侵犯著作权等,请点击“违规举报”。

碎片内容

数列求和题型

小辰5+ 关注
实名认证
内容提供者

出售各种资料和文档

相关文档

确认删除?
VIP
微信客服
  • 扫码咨询
会员Q群
  • 会员专属群点击这里加入QQ群
客服邮箱
回到顶部