电脑桌面
添加小米粒文库到电脑桌面
安装后可以在桌面快捷访问

第三章电容式传感器习题解答

第三章电容式传感器习题解答_第1页
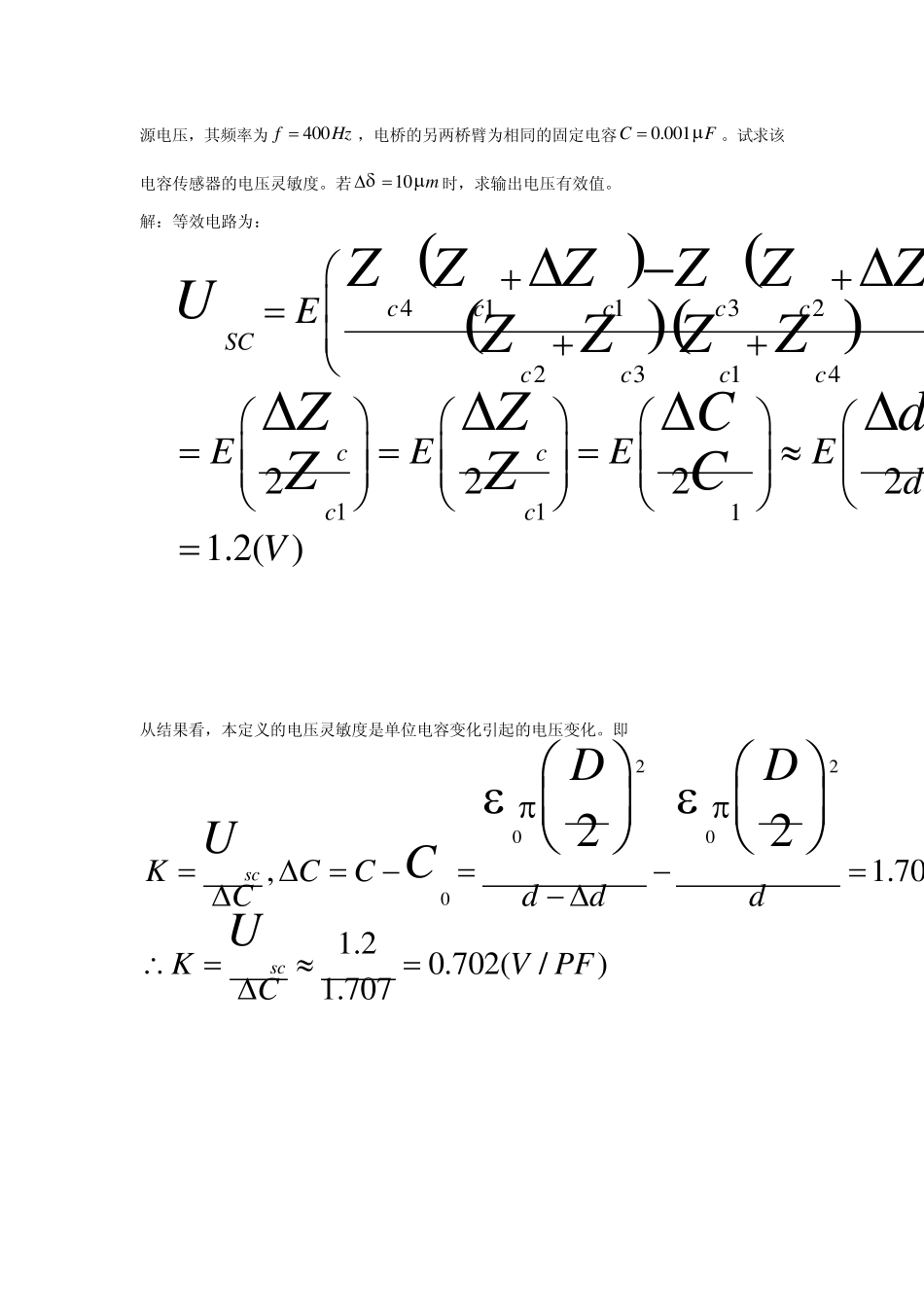
1/7
第三章电容式传感器习题解答_第2页
2/7
第三章电容式传感器习题解答_第3页
3/7
第三章 电容式传感器习题 3-1 电容式传感器有哪些优点和缺点? 答:优点:①测量范围大。金属应变丝由于应变极限的限制,Δ R /R 一般低于 1%,。而半导体应变片可达 20%,电容传感器电容的相对变化量可大于 100%; ②灵敏度高。如用比率变压器电桥可测出电容,其相对变化量可以大致 10-7。 ③动态响应时间短。由于电容式传感器可动部分质量很小,因此其固有频率很高,适用于动态信号的测量。④机械损失小。电容式传感器电极间吸引力十分微小,又无摩擦存在,其自然热效应甚微,从而保证传感器具有较高的精度。 ⑤结构简单,适应性强。电容式传感器一般用金属作电极,以无机材料(如玻璃、石英、陶瓷等)作绝缘支承,因此电容式传感器能承受很大的温度变化和各种形式的强辐射作用,适合于恶劣环境中工作。 电容式传感器有如下不足: ①寄生电容影响较大。寄生电容主要指连接电容极板的导线电容和传感器本身的泄漏电容。寄生电容的存在不但降低了测量灵敏度,而且引起非线性输出,甚至使传感器处于不稳定的工作状态。 ②当电容式传感器用于变间隙原理进行测量时具有非线性输出特性。 3-2 分布和寄生电容的存在对电容传感器有什么影响?一般采取哪些措施可以减小其影响。 答:改变传感器总的电容量,甚至有时远大于应该传递的信号引起的电容的变化;使传感器电容变的不稳定,易随外界因素的变化而变化。 可以采取静电屏蔽措施和电缆驱动技术。 3-3 如何改善单极式变极距型电容传感器的非线性? 答:采用可以差动式结构,可以使非线性误差减小一个数量级。 3-4:答:驱动电缆技术是指传感器与后边转换输出电路间引线采用双层屏蔽电缆,而且其内屏蔽层与信号传输线(芯线)通过1:1 放大器实现等电位,由于屏蔽电缆线上有随传感器输出信号变化而变化的信号电压,所以称之为“电缆驱动技术”。 它能有效地消除芯线与屏蔽层之间的寄生电容。 其中,外屏蔽线则是用来接地以防止其他外部电场干扰,起到一般屏蔽层的作用。内、外屏蔽层之间仍存在寄生电容则成为1:1 放大器的负载,所以,该1:1 放大器是一个具有极高 + 1:1 _ 内屏蔽层 输出电路 传感器 输入阻抗(同相输入)、放大倍数为 1、具有容性负载的同性放大器。这种“驱动电缆技术”的线路比较复杂,要求也比较高,但消除寄生电容的影响极好,它在传感器输出电容变化只有 1PF 时仍能正常识别、工作。 动 3-5 答:差动脉冲宽度调制电路通过双稳态...

1、当您付费下载文档后,您只拥有了使用权限,并不意味着购买了版权,文档只能用于自身使用,不得用于其他商业用途(如 [转卖]进行直接盈利或[编辑后售卖]进行间接盈利)。
2、本站所有内容均由合作方或网友上传,本站不对文档的完整性、权威性及其观点立场正确性做任何保证或承诺!文档内容仅供研究参考,付费前请自行鉴别。
3、如文档内容存在违规,或者侵犯商业秘密、侵犯著作权等,请点击“违规举报”。

碎片内容

第三章电容式传感器习题解答

您可能关注的文档

小辰7+ 关注
实名认证
内容提供者

出售各种资料和文档

确认删除?
VIP
微信客服
  • 扫码咨询
会员Q群
  • 会员专属群点击这里加入QQ群
客服邮箱
回到顶部