电脑桌面
添加小米粒文库到电脑桌面
安装后可以在桌面快捷访问

常用物体的转动惯量及扭矩的计算

常用物体的转动惯量及扭矩的计算_第1页
1/12
常用物体的转动惯量及扭矩的计算_第2页
2/12
常用物体的转动惯量及扭矩的计算_第3页
3/12
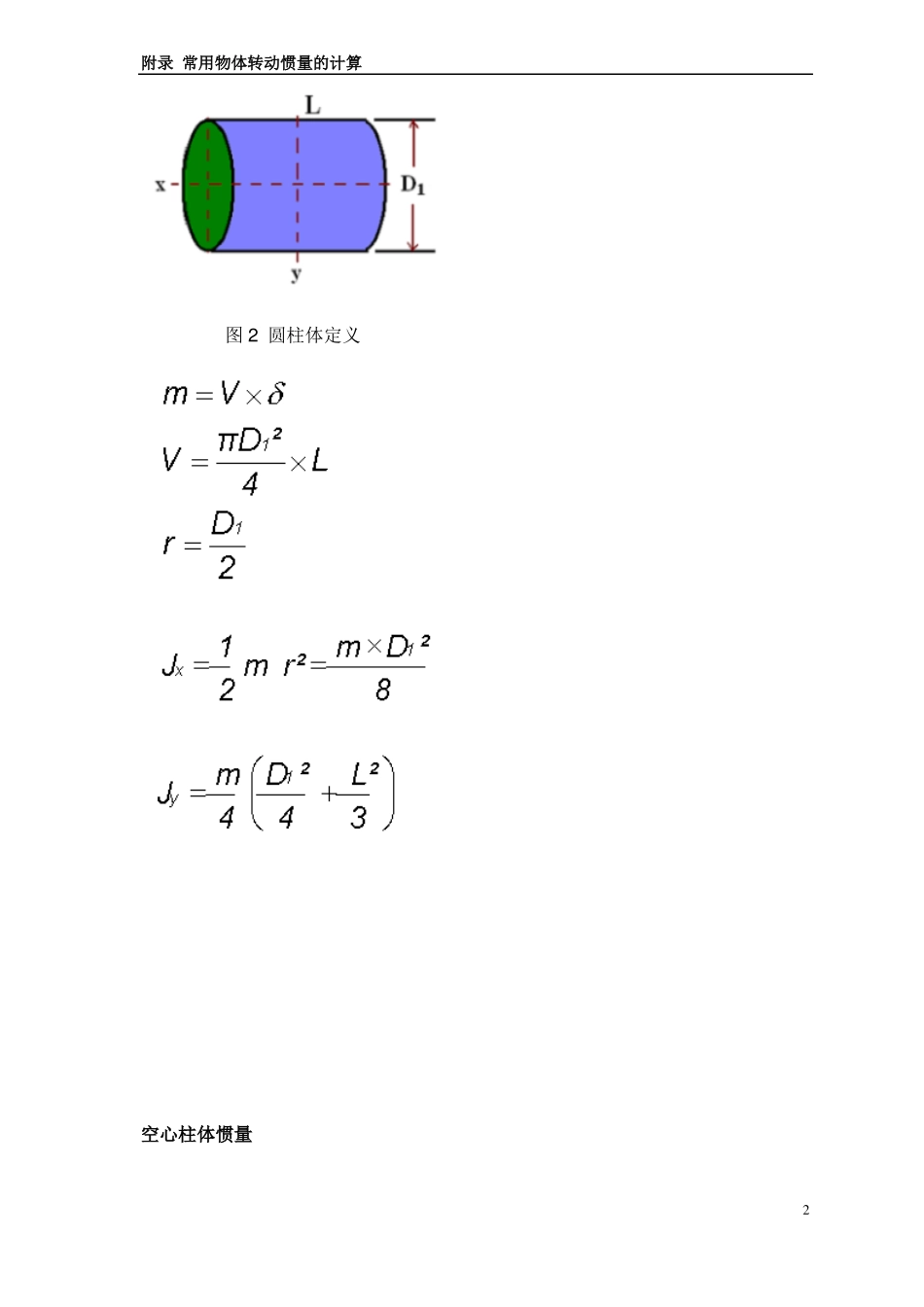
WORD 格式..可编辑附录 1. 常用物体转动惯量的计算惯量的计算:矩形体的计算角加速度的公式α =(2π /60)/t转矩 T=J*α =J*n*2π /60)/tα -弧度/秒 t-秒 T –Nmn-r/min图 1 矩形结构定义以 a-a 为轴运动的惯量:公式中:以 b-b 为轴运动的惯量:圆柱体的惯量专业知识整理分享附录 常用物体转动惯量的计算图 2 圆柱体定义空心柱体惯量2WORD 格式..可编辑图 3 空心柱体定义摆臂的惯量专业知识整理分享附录 常用物体转动惯量的计算图 4-1 摆臂 1 结构定义图 4-2 摆臂 2 结构定义曲柄连杆的惯量4WORD 格式..可编辑图 5 曲柄连杆结构定义带减速机结构的惯量专业知识整理分享附录 常用物体转动惯量的计算图 6 带减速机结构定义齿形带传动的惯量6WORD 格式..可编辑图 7 齿形带传动结构齿轮组减速结构的惯量专业知识整理分享附录 常用物体转动惯量的计算图 8 齿轮组传动结构滚珠丝杠的惯量8WORD 格式..可编辑图 9 丝杠传动结构折算到电机的力矩传送带的惯量专业知识整理分享附录 常用物体转动惯量的计算图 10 传送带结构总惯量折算到电机的惯量折算到电机的扭矩10WORD 格式..可编辑齿轮,齿条传动惯量的计算图 11 齿轮齿条结构定义专业知识整理分享附录 常用物体转动惯量的计算1,确认您的负载额定扭矩要小于减速机额定输出扭矩, 2,伺服电机额定扭矩*减速比要大于负载额定扭矩。 3,负载通过减速机转化到伺服电机的转动惯量,要在伺服电机允许的范围内。 4,确认减速机精度能够满足您的控制要求。 5,减速机结构形式,外型尺寸既能满足设备要求,同时能与所选用的伺服电机 很好,转动惯量一定要算的,不算是因为你已经确认了不会有问题,否则负载拖电机是一定的。如果对启动的时间有要求,如初速度为0需要几秒后达到速度为何,就需要计算转动惯量,角的加速度和转动惯量求转矩。12

1、当您付费下载文档后,您只拥有了使用权限,并不意味着购买了版权,文档只能用于自身使用,不得用于其他商业用途(如 [转卖]进行直接盈利或[编辑后售卖]进行间接盈利)。
2、本站所有内容均由合作方或网友上传,本站不对文档的完整性、权威性及其观点立场正确性做任何保证或承诺!文档内容仅供研究参考,付费前请自行鉴别。
3、如文档内容存在违规,或者侵犯商业秘密、侵犯著作权等,请点击“违规举报”。

碎片内容

常用物体的转动惯量及扭矩的计算

爱的疯狂+ 关注
实名认证
内容提供者

该用户很懒,什么也没介绍

相关文档

确认删除?
VIP
微信客服
  • 扫码咨询
会员Q群
  • 会员专属群点击这里加入QQ群
客服邮箱
回到顶部