电脑桌面
添加小米粒文库到电脑桌面
安装后可以在桌面快捷访问

《自动控制原理》(李晓秀)习题参考答案

《自动控制原理》(李晓秀)习题参考答案_第1页
1/27
《自动控制原理》(李晓秀)习题参考答案_第2页
2/27
《自动控制原理》(李晓秀)习题参考答案_第3页
3/27
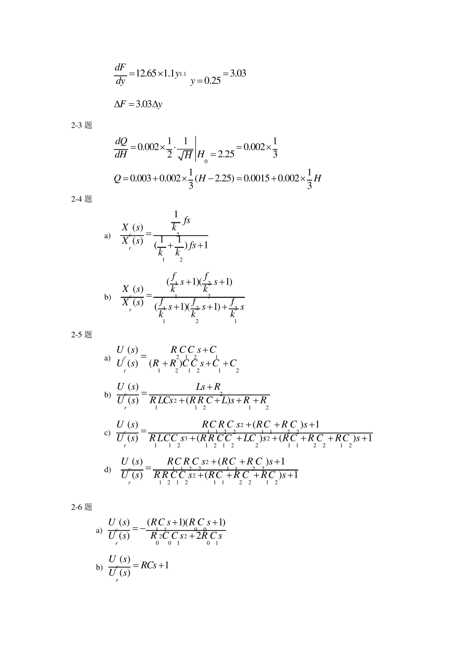
第1 章 习题答案 1 -3 题 系统的控制任务是保持发电机端电压U 不变。 当负载恒定发电机的端电压U 等于设定值0U 时,0U,电动机不动,电位器滑臂不动,励磁电流fI 恒定;当负载改变,发电机的端电压U 不等于设定值0U 时,0U,U经放大器放大后控制电动机转动,电位器滑臂移动动,使得励磁电流fI 改变,调整发电机的端电压U ,直到0UU。 系统框图为: 1 -4 题 (1 )在炉温控制系统中,输出量为电炉内温度,设为cT ;输入量为给定毫伏信号,设为ru ;扰动输入为电炉的环境温度和自耦调压器输入电压的波动等;被控对象为电炉;控制装置有电压放大器、功率放大器、可逆电动机、减速器、调压器等。 系统框图为: (2)炉温控制系统的任务是使炉内温度值保持不变。当炉内温度与设定温度相等时,ru 等于fu,即0u ,可逆电动机电枢电压为0,电动机不转动,调压器滑臂不动,炉温温度不改变。 电动机 发电机 0UfI电位器 U放大器 U负载 可逆 电动机 调压器 ru减速器 扰动 热电耦 fu电压、功率 放大 电炉 cTu若实际温度小于给定温度,0rfuuu,经放大后控制可逆电动机转动使调压器滑臂上移,使加热器电压增大,调高炉温;若实际温度大于给定温度,0rfuuu,经放大后控制可逆电动机转动使调压器滑臂下移,使加热器电压减小,降低炉温。使得fu和ru之间的偏差减小甚至消除,实现了温度的自动控制。 1-5 题 (1) 在水位控制系统中,输出量为水位高度H ;输入量为给定电压gu;扰动输入为出水量等。 系统原理框图为: (2)当实际水位高度H 为设定高度时,与受浮球控制的电位器滑臂位置对应的fu与给定电压gu相等,电动机不转动,进水阀门维持不变。若水位下降,电位器滑臂上移,fu增大,偏差0gfuuu ,经放大后控制电动机逆转调大进水阀门,加大进水量使水位升高;若水位升高降,电位器滑臂下移,fu减小,偏差0gfuuu ,经放大后控制电动机正转调小进水阀门,减小进水量使水位下降,实现了水位的自动控制。 第 2 章 习题答案 2-1 题 a) 122( )( )()( )( )crcrdutdutRCR CutR Cutdtdt b) 211( )( )111() ( )( )crcrdutdutututdtR CRCdtRC 2-2 题 进水阀 gu减速器 出水 浮球 fu水箱 H放大器 电动机 1.112.65 1.13.030.25dFyydy  3.03Fy 2-3 题 01110.0020.0022.2523dQHdHH 110.003 0...

1、当您付费下载文档后,您只拥有了使用权限,并不意味着购买了版权,文档只能用于自身使用,不得用于其他商业用途(如 [转卖]进行直接盈利或[编辑后售卖]进行间接盈利)。
2、本站所有内容均由合作方或网友上传,本站不对文档的完整性、权威性及其观点立场正确性做任何保证或承诺!文档内容仅供研究参考,付费前请自行鉴别。
3、如文档内容存在违规,或者侵犯商业秘密、侵犯著作权等,请点击“违规举报”。

碎片内容

《自动控制原理》(李晓秀)习题参考答案

您可能关注的文档

确认删除?
VIP
微信客服
  • 扫码咨询
会员Q群
  • 会员专属群点击这里加入QQ群
客服邮箱
回到顶部