电脑桌面
添加小米粒文库到电脑桌面
安装后可以在桌面快捷访问

安徽2012第三批本科院校投档分数及名次(理工)

安徽2012第三批本科院校投档分数及名次(理工)_第1页
1/7
安徽2012第三批本科院校投档分数及名次(理工)_第2页
2/7
安徽2012第三批本科院校投档分数及名次(理工)_第3页
3/7
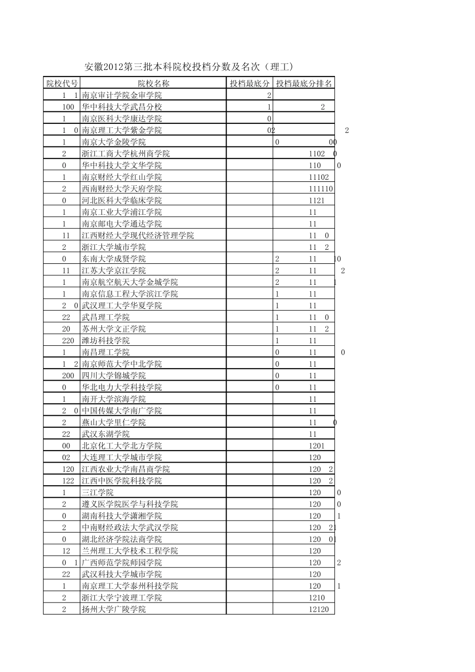
院校代号院校名称投档最底分投档最底分排名3151 南京审计学院金审学院529578763100华中科技大学武昌分校514725343154南京医科大学康达学院503846873150 南京理工大学紫金学院502849623146南京大学金陵学院490980053265浙江工商大学杭州商学院4781102903099华中科技大学文华学院4771104303145南京财经大学红山学院4771110293244西南财经大学天府学院4771111103075河北医科大学临床学院4761121753147南京工业大学浦江学院4741136863155南京邮电大学通达学院4731143833115 江西财经大学现代经济管理学院4731150963263浙江大学城市学院4731152593036东南大学成贤学院4721157103114 江苏大学京江学院4721158723148南京航空航天大学金城学院4721163143153南京信息工程大学滨江学院4711167653230 武汉理工大学华夏学院4711168373224 武昌理工学院4711170773207 苏州大学文正学院4711172773220潍坊科技学院4711173353143南昌理工学院4701174503152 南京师范大学中北学院4701176393200四川大学锦城学院4701177773096华北电力大学科技学院4701178733157南开大学滨海学院4691184733280 中国传媒大学南广学院4691186533257燕山大学里仁学院4691188063226 武汉东湖学院4681197953007 北京化工大学北方学院4681201953029 大连理工大学城市学院4681203763120江西农业大学南昌商学院4681204283122江西中医学院科技学院4681204293169三江学院4671205303296遵义医学院医学与科技学院4671206903089湖南科技大学潇湘学院4671206913287中南财经政法大学武汉学院4671207213085湖北经济学院法商学院4671208013127 兰州理工大学枝术工程学院4671208493051 广西师范学院师园学院4671208523229 武汉科技大学城市学院4671208753149南京理工大学泰州科技学院4671209813264浙江大学宁波理工学院4671210483258扬州大学广陵学院467121206安徽2012第三批本科院校投档分数及名次(理工)3140南昌工学院4661216183020长沙理工大学城南学院4661216563071河北工业大学城市学院4661216733097华东交通大学理工学院4661216893306安徽建筑工业学院城市建设学院4661218433094湖南中医药大学湘杏学院4661221223209苏州科技学院天平学院4661222003223无锡太湖学院4661223173139南昌大学科学技术学院4661224123302安徽财经大学商学院4661224193284中国矿业大学徐海学院4651227043021长沙医学院4651227713142南昌航空大学科技学院4651228073248屋门大学嘉庚学院4641235383090湖南理...

1、当您付费下载文档后,您只拥有了使用权限,并不意味着购买了版权,文档只能用于自身使用,不得用于其他商业用途(如 [转卖]进行直接盈利或[编辑后售卖]进行间接盈利)。
2、本站所有内容均由合作方或网友上传,本站不对文档的完整性、权威性及其观点立场正确性做任何保证或承诺!文档内容仅供研究参考,付费前请自行鉴别。
3、如文档内容存在违规,或者侵犯商业秘密、侵犯著作权等,请点击“违规举报”。

碎片内容

安徽2012第三批本科院校投档分数及名次(理工)

您可能关注的文档

小辰7+ 关注
实名认证
内容提供者

出售各种资料和文档

确认删除?
VIP
微信客服
  • 扫码咨询
会员Q群
  • 会员专属群点击这里加入QQ群
客服邮箱
回到顶部