电脑桌面
添加小米粒文库到电脑桌面
安装后可以在桌面快捷访问

两角和与差的三角函数公式的证明

两角和与差的三角函数公式的证明_第1页
1/9
两角和与差的三角函数公式的证明_第2页
2/9
两角和与差的三角函数公式的证明_第3页
3/9
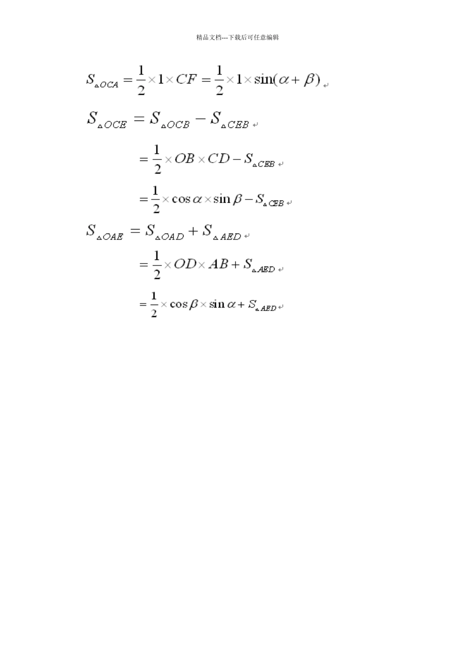
精品文档---下载后可任意编辑两角和与差的三角函数公式的证明三角函数两角和与差单位圆托勒密定理数学 利用单位圆方法证明 sin(α+β)= … 与 cos(α+β)= …,是进一步证明大部分三角函数公式的基础。 1、sin(α+β)=sinαcosβ+ cosαsinβ在笛卡尔坐标系中以原点 O 为圆心作单位圆,在单位圆中作以下线段:精品文档---下载后可任意编辑 如图中所示,容易看出:sin(α+β)=CF;sinα=AB;cosα=OB; sinβ=CD;cosβ=OD则: 精品文档---下载后可任意编辑 精品文档---下载后可任意编辑 精品文档---下载后可任意编辑 精品文档---下载后可任意编辑 ----------------------------------------------------------------------------------------------平面几何的证明方法:如图所示,过程见下面的【评论】中新浪网友的提示精品文档---下载后可任意编辑(非常感谢这位网友的提示,让我们看到了证明一个定理的多种途径,真是妙不可言!) ----------------------------------------------------------------------------------附:如何证明托勒密定理见 托勒密(Ptolemy)定理指出,圆内接凸四边形两对对边乘积的和等于两条对角线的乘积。原文:圆内接四边形中,两对角线所包矩形的面积等于 一组对边所包矩形的面积与另一组对边所包矩形的面积之和。精品文档---下载后可任意编辑 从这个定理可以推出正弦、余弦的和差公式及一系列的三角恒等式,托勒密定理实质上是关于共圆性的基本性质.(具体的推导方法详见数学目录下的博文,来自网友的提供!) 思路:托勒密定理在平面几何中赫赫有名,其难点在于:把一条对角线分割成两条线段 DE 和 BE。第一步证明一对旋转的三角形相似:△ABE∽△ACD;第二步还需要证一对旋转的三角形相似△ADE∽△ACB;只有这两对相似的三角形出来了才能得到结论。 证明:以 AB 为边,作一个角等于已知角:即∠BAE=∠DAC;在 ΔABE 和 ΔACD 中,∵ ∠BAE=∠DAC;∠ABE=∠ACD;精品文档---下载后可任意编辑∴ △ABE∽△ACD;∴ AB·DC=BE·AC ①∵ ∠BAE=∠DAC;∴ ∠DAE=∠CAB;在 ΔADE 和 ΔACB 中,∵ ∠ADE=∠ACB;∠DAE=∠CAB;∴ △ADE∽△ACB;∴ AD·BC=DE·AC ②∴ ①+② 得:AB·DC+ AD·BC= BE·AC+ DE·AC=(BE+DE)·AC=BD·AC。 结论:该命题对于圆内接的任意四边形都成立。最初是由数学家托勒密想出来的,叫做托勒密定理。“当你遇到 AB·DC+AD·BC=AC·BD 这样的等积式时,假如等式左边可以合二为一,则考虑证一对三角形相似,否则,在 AC、BD 的其中一条线段上找到一个分点,构造两个三角形相似。”

1、当您付费下载文档后,您只拥有了使用权限,并不意味着购买了版权,文档只能用于自身使用,不得用于其他商业用途(如 [转卖]进行直接盈利或[编辑后售卖]进行间接盈利)。
2、本站所有内容均由合作方或网友上传,本站不对文档的完整性、权威性及其观点立场正确性做任何保证或承诺!文档内容仅供研究参考,付费前请自行鉴别。
3、如文档内容存在违规,或者侵犯商业秘密、侵犯著作权等,请点击“违规举报”。

碎片内容

两角和与差的三角函数公式的证明

阳光书坊+ 关注
实名认证
内容提供者

阳光书坊,传播未来

相关文档

确认删除?
VIP
微信客服
  • 扫码咨询
会员Q群
  • 会员专属群点击这里加入QQ群
客服邮箱
回到顶部