电脑桌面
添加小米粒文库到电脑桌面
安装后可以在桌面快捷访问

概率论与数理统计试题(英文)09.1.8VIP专享

概率论与数理统计试题(英文)09.1.8_第1页
1/8
概率论与数理统计试题(英文)09.1.8_第2页
2/8
概率论与数理统计试题(英文)09.1.8_第3页
3/8
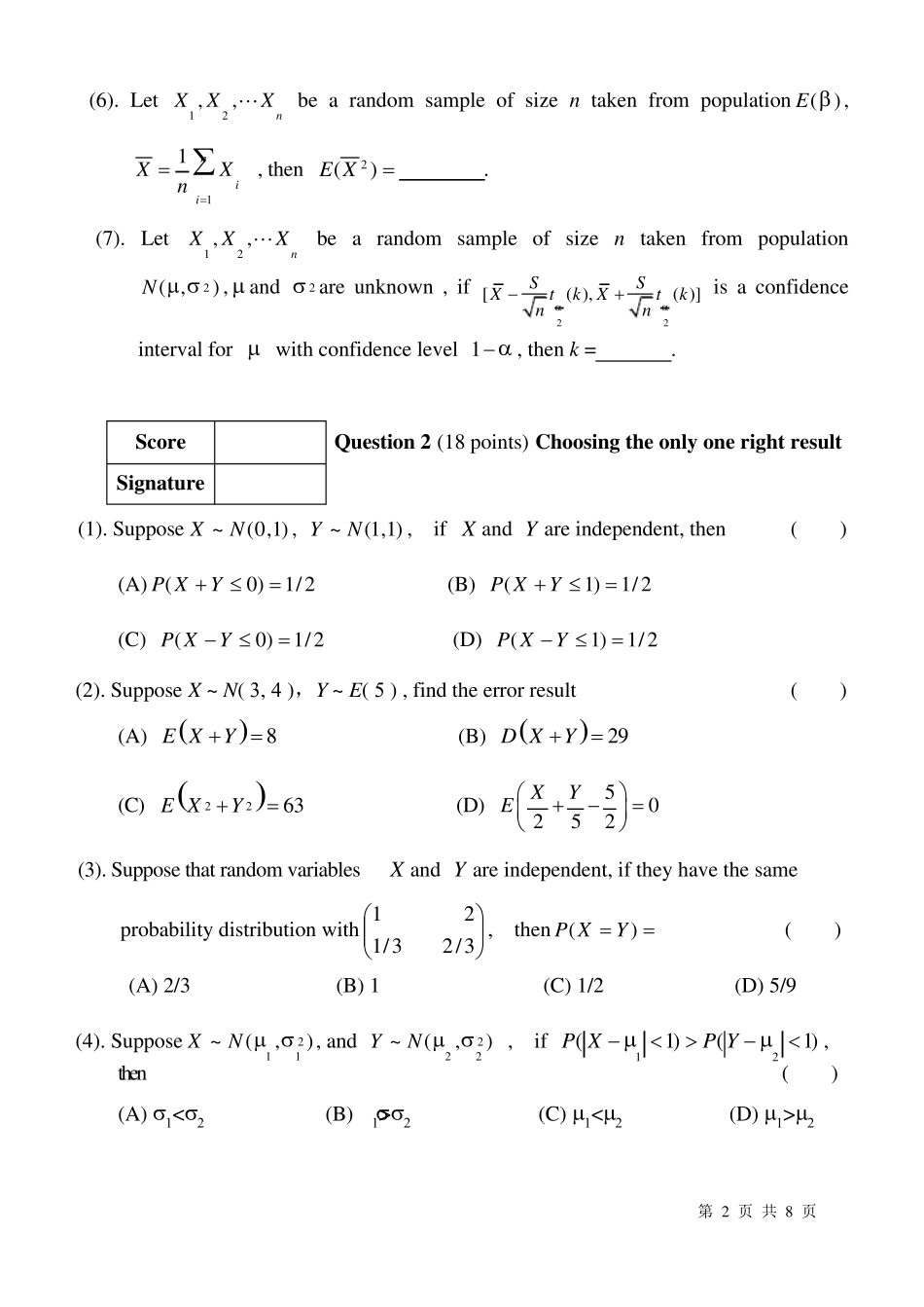
第 1 页 共 8 页 2008~2009 第一学期 《 概率论与数理统计(Probability and Statistics) 》考试试卷(A 卷) (闭卷) Name Student I D Class Date: Jan 8, 2009 Time: 8:30 am to 11:00 am Instruction: Answer all questions in the space provided. Show your work. Question 1 2 3 4 5 6 7 8 total Mark Score Question 1 (21 points) Filling the blanks Signature (1). Let A, B be two events, P(A) = 0.4,P(B) = 0.3,P(BA  ) = 0.6,then P(BA ) = . (2). Suppose a random variable X has the probability distribution with 20120.30.10.20.4, then 2(1)P X= . (3). Suppose),(YX has the joint density function elsewhereyxyxyxf,01,0,0,2),(, then the marginal distribution for X alone )(xg= . (4). Suppose ),(~2NX,consider a quadratic equation with one unknown 220yyX about y, if the probability of this equation having no real root is 21 , then   . (5). The number of distinct permutations can be made from the letters of the word access = . 第 2 页 共 8 页 (6). Let nXXX,,21 be a random sample of size n taken from population)(E, niiXnX11 , then )(2XE . (7). Let nXXX,,21 be a random sample of size n taken from population 2( ,)N  ,  and 2 are unknown , if 22[( ),( )]SSXt kXt knn is a confidence interval for  with confidence level 1, then k = . (1). Suppose)1,0(~ NX, )1,1(~ NY, if X and Y are independent, then ( ) (A)2/1)0( YXP (B) 2/1)1( YXP (C) 2/1)0(YXP (D) 2/1)1(YXP (2). Suppose X ~ N( , ),Y ~ E( ) , find the error result ( ) (A) 8E XY (B) 29D XY (C) 2263E XY (D) 50252XYE  (3). Suppose that random variables X and Y are independent, if they have the same...

1、当您付费下载文档后,您只拥有了使用权限,并不意味着购买了版权,文档只能用于自身使用,不得用于其他商业用途(如 [转卖]进行直接盈利或[编辑后售卖]进行间接盈利)。
2、本站所有内容均由合作方或网友上传,本站不对文档的完整性、权威性及其观点立场正确性做任何保证或承诺!文档内容仅供研究参考,付费前请自行鉴别。
3、如文档内容存在违规,或者侵犯商业秘密、侵犯著作权等,请点击“违规举报”。

碎片内容

概率论与数理统计试题(英文)09.1.8

确认删除?
VIP
微信客服
  • 扫码咨询
会员Q群
  • 会员专属群点击这里加入QQ群
客服邮箱
回到顶部