电脑桌面
添加小米粒文库到电脑桌面
安装后可以在桌面快捷访问

硅钢片损耗曲线

硅钢片损耗曲线_第1页
1/9
硅钢片损耗曲线_第2页
2/9
硅钢片损耗曲线_第3页
3/9
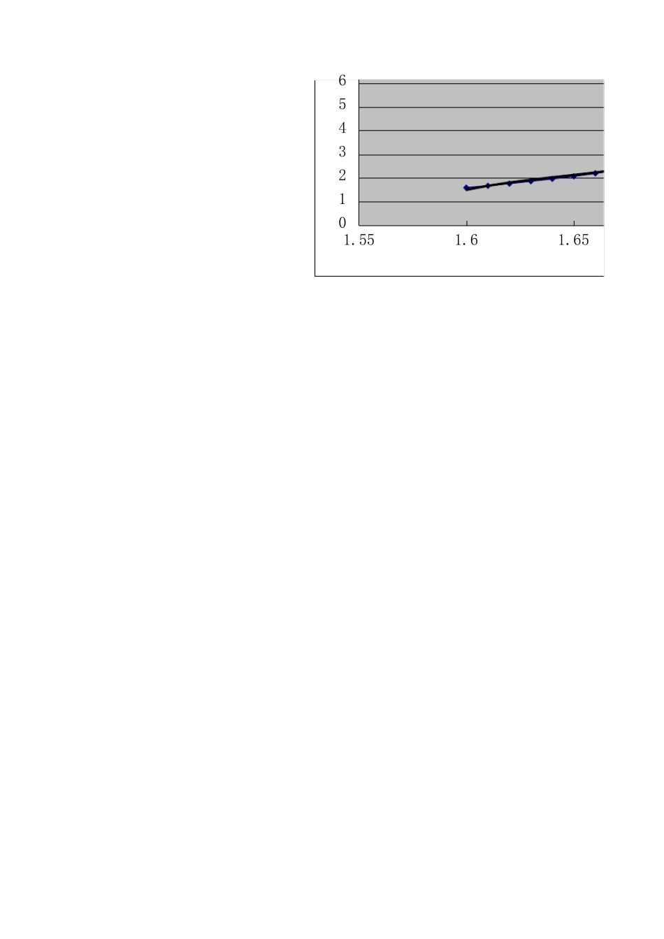
DQ151-35磁密W/kg磁密VA/kg0.90.3550.90.40.910.3620.910.4080.920.3690.920.4160.930.3760.930.4240.940.3830.940.4360.950.390.950.440.960.3980.960.4480.970.4060.970.4560.980.4140.980.4640.990.4220.990.47210.4310.481.010.4381.010.4891.020.4461.020.4981.030.4541.030.5071.040.4621.040.5161.050.471.050.5251.060.4781.060.5341.070.4861.070.5431.080.4941.080.5521.090.5021.090.5611.10.511.10.571.110.5191.110.581.120.5281.120.591.130.5371.130.61.140.5461.140.611.150.5551.150.621.160.5641.160.631.170.5731.170.641.180.5821.180.651.190.5911.190.661.20.61.20.671.210.611.210.681.220.621.220.691.230.631.230.71.240.6411.240.711.250.6521.250.721.260.6631.260.7321.270.6741.270.7441.280.6861.280.7561.290.6981.290.7681.30.711.30.781.310.7221.310.7941.320.7341.320.8081.330.7461.330.8281.340.7591.340.836y = 0.00.20.40.60.811.21.41.61.800.50.70.80.911.350.7721.350.851.360.7851.360.8661.370.7981.370.8821.380.8121.380.8981.390.8261.390.9141.40.841.40.931.410.8551.410.951.420.871.420.971.430.8851.430.991.440.9011.441.011.450.9171.451.031.460.9331.461.0521.470.9491.471.0741.480.9661.481.0961.490.9831.491.1181.511.51.141.511.0181.511.171.521.0361.521.21.531.0541.531.231.541.0721.541.271.551.091.551.311.561.1091.561.361.571.1281.571.411.581.1471.581.471.591.1661.591.531.61.1851.61.61.611.2051.611.681.621.2251.621.771.631.2461.631.871.641.2671.641.971.651.2881.652.081.661.311.662.21.671.3321.672.351.681.3541.682.531.691.3771.692.731.71.41.72.951.711.4241.713.21.721.4491.723.51.731.4751.733.91.741.5021.744.31.751.531.754.71.761.5581.765.21.771.5851.7761.781.6161.7871.791.6471.7981.81.681.8900.10.20.30.40.50.60.70.800.20.40.6y = 700.20.40.60.811.21.41.61.81.351.41.4567891001234561.551.61.65y = 0.7898x3 - 2.0192x2 + 2.4326x - 0.7742R² = 0.999911.52W/kgW/kg多项式 (W/kg)y = 1.4205x3 - 4.1694x2 + 4.9245x - 1.6926VA/kg0.60.811.21.41.6VA/kg多项式(VA/ky = 73.774x3 - 319.74x2 + 463.88x - 224.25451.51.551.61.65系列1多项式(系列1)y = 1427.9x3 - 7046.4x2 + 11601x - 6369.61.71.751.81.85系列1多项式 (系列W/kg)(VA/kg)系列1)系列1)

1、当您付费下载文档后,您只拥有了使用权限,并不意味着购买了版权,文档只能用于自身使用,不得用于其他商业用途(如 [转卖]进行直接盈利或[编辑后售卖]进行间接盈利)。
2、本站所有内容均由合作方或网友上传,本站不对文档的完整性、权威性及其观点立场正确性做任何保证或承诺!文档内容仅供研究参考,付费前请自行鉴别。
3、如文档内容存在违规,或者侵犯商业秘密、侵犯著作权等,请点击“违规举报”。

碎片内容

硅钢片损耗曲线

确认删除?
VIP
微信客服
  • 扫码咨询
会员Q群
  • 会员专属群点击这里加入QQ群
客服邮箱
回到顶部