电脑桌面
添加小米粒文库到电脑桌面
安装后可以在桌面快捷访问

自考概率论与数理统计

自考概率论与数理统计_第1页
1/11
自考概率论与数理统计_第2页
2/11
自考概率论与数理统计_第3页
3/11
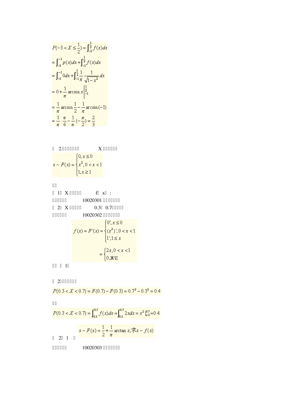
例 2.设连续函数变量X 的分布函数为 求: ( 1) X 的概率密度f( x ) ; 【答疑编号:10020301 针对该题提问】 ( 2) X 落在区间(0.3, 0.7)的概率。 【答疑编号:10020302 针对该题提问】 解: ( 1) ( 2)有两种解法: 或者 例 2- 1 若 【答疑编号:10020303 针对该题提问】 解: 例 2- 2 若 求 x~f(x) 【答疑编号:10020304 针对该题提问】 解: 例 2- 3,若 【答疑编号:10020305 针对该题提问】 解: 例 3.若 【答疑编号:10020306 针对该题提问】 解: ( 1) x≤0 时,f( x) =0, ( 2) 0< x< 1 时, ( 3) 1≤x 时, 注 2.分段函数要分段求导数,分段求积分。 例 4.设某种型号电子元件的寿命X (以小时计)具有以下的概率密度。 现有一大批此种元件,(设各元件工作相互独立),问: ( 1)任取一只,其寿命大于1500 小时的概率是多少? 【答疑编号:10020307 针对该题提问】 ( 2)任取四只,四只元件中恰有2 只元件的寿命大于1500 的概率是多少? 【答疑编号:10020308 针对该题提问】 ( 3)任取四只,四只元件中至少有1 只元件的寿命大于1500 的概率是多少? 【答疑编号:10020309 针对该题提问】 解: ( 1) ( 2)各元件工作相互独立,可看作4 重贝努利试验,观察各元件的寿命是否大于1500小时,令Y 表示4 个元件中寿命大于1500 小时元件个数,则,所求概率为 ( 3)所求概率为 3 .2 均匀分布与指数分布 以下介绍三种最常用的连续型概率分布,均匀分布、指数分布和正态分布,本小节先介 绍前两种。 定义2.若随机变量X 的概率密度为 则称X 服从区间[a,b]上的均匀分布,简记为X~U( a,b) 容易求得其分布函数为 均匀分布的概率密度f( x)和分布函数F( x)的图像分别见图2.3 和图2.4 均匀分布的概率密度f( x)在[a,b]内取常数 ,即区间长度的倒数。 均匀分布的均匀性是指随机变量X 落在区间[a,b]内长度相等的子区间上的概率都是相等的。 均匀分布的概率计算中有一个概率公式。 设,则 使用这个公式计算均匀分布的概率很方便,比如,设,则 例 5.公共汽车站每隔5 分钟有一辆汽车通过,乘客在5 分钟内任一时刻到达汽车站是等可能的,求乘客候车时间在1 到 3 分钟内的概率。 【答疑编号:10020310 针对该题提问】 解:设X 表示乘客的侯车时间,则X~U( 0,5),其概率密度...

1、当您付费下载文档后,您只拥有了使用权限,并不意味着购买了版权,文档只能用于自身使用,不得用于其他商业用途(如 [转卖]进行直接盈利或[编辑后售卖]进行间接盈利)。
2、本站所有内容均由合作方或网友上传,本站不对文档的完整性、权威性及其观点立场正确性做任何保证或承诺!文档内容仅供研究参考,付费前请自行鉴别。
3、如文档内容存在违规,或者侵犯商业秘密、侵犯著作权等,请点击“违规举报”。

碎片内容

自考概率论与数理统计

您可能关注的文档

确认删除?
VIP
微信客服
  • 扫码咨询
会员Q群
  • 会员专属群点击这里加入QQ群
客服邮箱
回到顶部