电脑桌面
添加小米粒文库到电脑桌面
安装后可以在桌面快捷访问

费马小定理及应用

费马小定理及应用_第1页
1/10
费马小定理及应用_第2页
2/10
费马小定理及应用_第3页
3/10
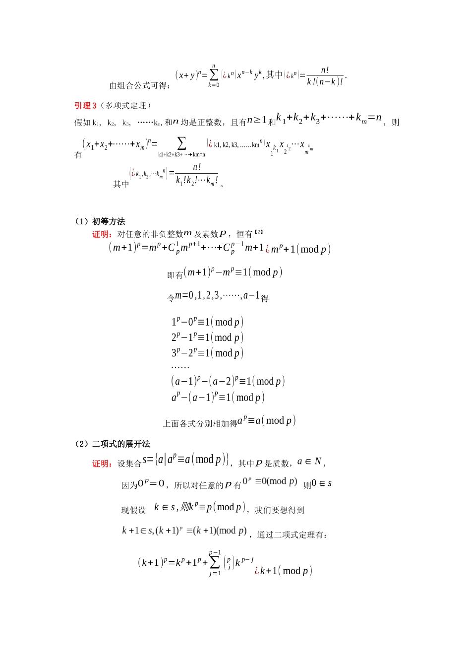
费马小定理及应用知识定位费马小定理是初中数学竞赛数论中常常出现的一种。要熟练掌握费马小定理是数论中的一个定理,数学表达形式和应用。本节我们通过一些实例的求解,旨在介绍数学竞赛中不定方程相关问题的常见题型及其求解方法本讲将通过例题来说明这些方法的运用。 知识梳理1、欧拉函数:φ(m)是 1, 2, …, m 中与 m 互质的个数,称为欧拉函数.① 欧拉函数值的计算公式:若 m=…, 则 φ(m)=m (1-)(1-)…(1-)例如,30=2·3·5,则ϕ(30)=30(1−12 )(1−13 )(1−15 )=8. ② 若 p 为素数,则若 p 为合数,则③ 不超过 n 且与 n 互质的所有正整数的和为;④ 若 若⑤ 设 d 为 n 的正约数,则不大于 n 且与 n 有最大公因数 d 的正整数个数为,同时;2、欧拉定理:若(a, m)=1,则 aφ(m)≡1(mod m).证明:设 r1,r2,…,rφ(m)是模 m 的简化剩余系,又 (a, m)=1,∴a·r1,a·r2,…,a·rφ(m)是模 m 的简化剩余系,∴a·r1×a·r2×…×a·rφ(m)≡r1×r2×…×rφ(m)(mod m),又 (r1·r2·…·rφ(m), m)=1,∴aφ(m)≡1(mod m).应用:设(a, m)=1, c 是使得 ac≡1(mod m)的最小正整数, 则 c|φ(m).补充:设 m>1 是一个固定的整数, a 是与 m 互质的整数,则存在整数 k (1≤k≤m),使ak≡1(mod m),我们称具有这一性质的最小正整数(仍记为 k)称为 a 模 m 的阶,由 a 模 m 的阶的定义,可得如下性质:(1)设(a, m)=1,k 是 a 模 m 的阶,u, v 是任意整数,则 au≡av (mod m)的充要条件是 u ≡v (mod k),特别地,au≡1 (mod m)的充要条件是 k|u证明:充分性显然.必要性:设,由及知.用带余除法,故,∴,由的定义知,必须,所以(2)设(a, m)=1,k 是 a 模 m 的阶,则数列 a, a2, …, ak, ak+1,…是模 m 的周期数列,最小正周期为 k,而 k 个数 a, a2,…, ak 模 m 互不同余.(3)设(a, m)=1,k 是 a 模 m 的阶,则 k|φ(m),特别地,若 m 是素数 p,则 a 模 p 的阶整除 p-1.(4)设(a, p)=1, 则 d0是 a 对于模 p 的阶≡1(mod p), 且 1, a, …, ado−1对模 p两两不同余.特别地, do=φ(p)⇔ 1, a,…, aφ(p)−1构成模 p 的一个简化剩余系.定理:若l 为a 对模m 的阶,s 为某一正整数,满足as≡1(mod m),则s 必为l 的倍数.3、费尔马小定理若 p 是素数,则...

1、当您付费下载文档后,您只拥有了使用权限,并不意味着购买了版权,文档只能用于自身使用,不得用于其他商业用途(如 [转卖]进行直接盈利或[编辑后售卖]进行间接盈利)。
2、本站所有内容均由合作方或网友上传,本站不对文档的完整性、权威性及其观点立场正确性做任何保证或承诺!文档内容仅供研究参考,付费前请自行鉴别。
3、如文档内容存在违规,或者侵犯商业秘密、侵犯著作权等,请点击“违规举报”。

碎片内容

费马小定理及应用

MY shop+ 关注
实名认证
内容提供者

欢迎挑选适合自己的材料。

相关文档

确认删除?
VIP
微信客服
  • 扫码咨询
会员Q群
  • 会员专属群点击这里加入QQ群
客服邮箱
回到顶部