电脑桌面
添加小米粒文库到电脑桌面
安装后可以在桌面快捷访问

(新课标版)备战高考数学二轮复习 难点2.9 解析几何中的面积,共线,向量结合的问题教学案 文-人教版高三全册数学教学案

(新课标版)备战高考数学二轮复习 难点2.9 解析几何中的面积,共线,向量结合的问题教学案 文-人教版高三全册数学教学案_第1页
1/7
(新课标版)备战高考数学二轮复习 难点2.9 解析几何中的面积,共线,向量结合的问题教学案 文-人教版高三全册数学教学案_第2页
2/7
(新课标版)备战高考数学二轮复习 难点2.9 解析几何中的面积,共线,向量结合的问题教学案 文-人教版高三全册数学教学案_第3页
3/7
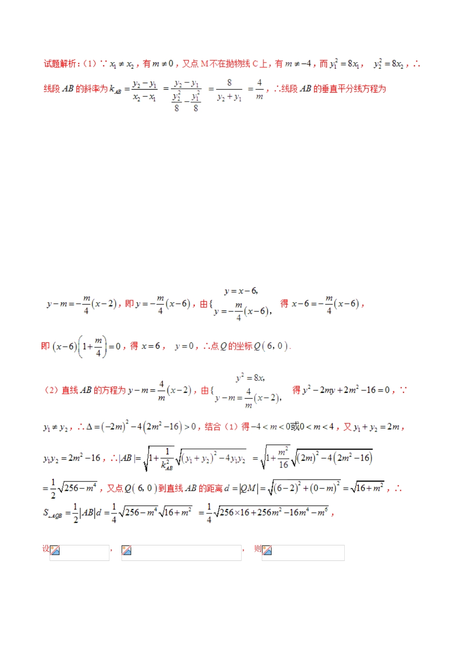
解析几何中的面积,共线,向量结合的问题圆锥曲线是解析几何部分的核心内容,以计算量大、方法灵活、技巧性强著称,既是中学数学的重点、难点,也是历年高考的热点,常以压轴题的形式出现.而直线与圆锥曲线的位置关系,集中交汇了解析几何中直线与圆锥曲线的内容, 特别是解析几何中的面积,共线,向量结合的问题是圆锥曲线综合题,解决圆锥曲线综合题,关键是熟练掌握每一种圆锥曲线的定义、标准方程、图形与几何性质,注意挖掘知识的内在联系及其规律,通过对知识的重新组合,以达到巩固知识、提高能力的目的.综合题中常常离不开直线与圆锥曲线的位置,因此,要树立将直线与圆锥曲线方程联立,应用判别式、韦达定理的意识.解析几何应用问题的解题关键是建立适当的坐标系,合理建立曲线模型,然后转化为相应的代数问题作出定量或定性的分析与判断.常用的方法:数形结合法,以形助数,用数定形. 在与圆锥曲线相关的综合题中,常借助于“平面几何性质”数形结合(如角平分线的双重身份――对称性、利用到角公式)、“方程与函数性质”化解析几何问题为代数问题、“分类讨论思想”化整为零分化处理、“求值构造等式、求变量范围构造不等关系”等等.1 解析几何中的面积问题解析几何中某些问题,可以通过三角形面积的等量关系去解.研究方法:先选定一个易于计算面积的几何图形,再用不同方法计算同一图形面积,得到一个面积等式;或是用一图形面积等于其它图形面积的和或差.在教学时,适当讲解此法,是开拓学生思路,提高数学教学质量的有效手段之一.例 1【西南名校联盟高三 2018 年元月考试】已知抛物线上的两个动点, 的横坐标,线段的中点坐标为,直线与线段的垂直平分线相交于点.(1)求点的坐 标;(2)求的面积的最大值.思路分析:(1)根据题设条件可求出线段的斜率,进而求出线段的垂直平分线方程,联立直线与线段的垂直平分线方程,即可求出点的坐标;(2)联立直线与抛物线的方程,结合韦达定理及弦长公式求出线段的长,再求出点到直线的距离,即可求出的表达式,再构造新函数,即可求出最大值.设, , 则 ,令得 (舍去), ,由于时, , 单调递增,时, , 单调递减,∴当时, 取得最大值,即的面积取得最大值,故的面积的最大值为 . 点评:圆锥曲线中的最值与范围问题是高考中的常考题型,常与不等式、函数等知识结合在一起,涉及的知识点较多、难度较大.解题时可先建立关于某个参数的目标函数,再求这个函数的最值,常用的方法有以...

1、当您付费下载文档后,您只拥有了使用权限,并不意味着购买了版权,文档只能用于自身使用,不得用于其他商业用途(如 [转卖]进行直接盈利或[编辑后售卖]进行间接盈利)。
2、本站所有内容均由合作方或网友上传,本站不对文档的完整性、权威性及其观点立场正确性做任何保证或承诺!文档内容仅供研究参考,付费前请自行鉴别。
3、如文档内容存在违规,或者侵犯商业秘密、侵犯著作权等,请点击“违规举报”。

碎片内容

(新课标版)备战高考数学二轮复习 难点2.9 解析几何中的面积,共线,向量结合的问题教学案 文-人教版高三全册数学教学案

您可能关注的文档

文章天下+ 关注
实名认证
内容提供者

各种文档应有尽有

确认删除?
VIP
微信客服
  • 扫码咨询
会员Q群
  • 会员专属群点击这里加入QQ群
客服邮箱
回到顶部