电脑桌面
添加小米粒文库到电脑桌面
安装后可以在桌面快捷访问

2025年危化企业安全生产标准化法律法规及其他要求清单

2025年危化企业安全生产标准化法律法规及其他要求清单_第1页
1/25
2025年危化企业安全生产标准化法律法规及其他要求清单_第2页
2/25
2025年危化企业安全生产标准化法律法规及其他要求清单_第3页
3/25
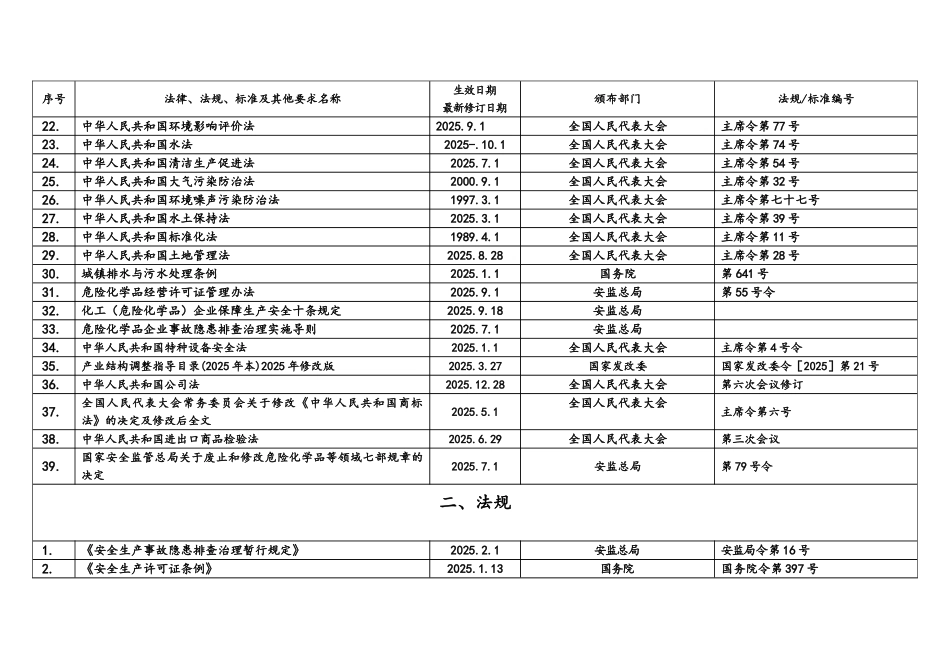
XX 适用法律法规及其他要求清单 注:本表更新时间 2025 年 7 月 1 日序号法律、法规、标准及其他要求名称生效日期最新修订日期颁布部门法规/标准编号一、法律1.《中华人民共和国安全生产法》2025.12.1全国人民代表大会主席令第 13 号2.《中华人民共和国大气污染防治法》2000.9.1全国人民代表大会主席令第 32 号3.《中华人民共和国工会法》2001.10.27全国人民代表大会主席令第 57 号4.《中华人民共和国环境保护法》2025.1.1全国人民代表大会主席令第 9 号5.《中华人民共和国劳动法》2025-8-27全国人民代表大会主席令第 18 号6.《中华人民共和国清洁生产促进法》2025.7.1全国人民代表大会主席令第 54 号7.《中华人民共和国消防法》2025.5.1全国人民代表大会主席令十一届第 6 号8.《中华人民共和国刑法》2025.5.1全国人民代表大会主席令第 41 号9.《中华人民共和国环境噪声污染防治法》1997.3.1全国人民代表大会主席令第 77 号10.《中华人民共和国职业病防治法》2025.12.31全国人民代表大会主席令第 52 号11.《中华人民共和国宪法》2025.3.14全国人大常委会12.中华人民共和国职业病防治法2025.12.31全国人大常委会主席令 11 届第 52 号13.中华人民共和国行政许可法2025.7.1全国人民代表大会主席令第 7 号14.中华人民共和国道路交通安全法2025.5.1全国人大常委会主席令第 47 号15.中华人民共和国循环经济促进法2025. 1.1全国人民代表大会主席令 第四号16.中华人民共和国水污染防治法2025.6.1全国人民代表大会主席令 第八十七号17.中华人民共和国城乡规划法2025.1.1全国人民代表大会主席令 第七十四号18.中华人民共和国节约能源法2025.4.1全国人民代表大会主席令 第七十七号19.中华人民共和国可再生能源法2025.4.1全国人民代表大会主席令 第 23 号20.中华人民共和国固体废物污染环境防治法2025.6.29全国人民代表大会主席令第 5 号21.中华人民共和国放射性污染防治法2025.10.1全国人民代表大会主席令第六号序号法律、法规、标准及其他要求名称生效日期最新修订日期颁布部门法规/标准编号22.中华人民共和国环境影响评价法2025.9.1全国人民代表大会主席令第 77 号23.中华人民共和国水法2025-.10.1全国人民代表大会主席令第 74 号24.中华人民共和国清洁生产促进法2025.7.1全国人民代表大会主席令第 54 号25.中华人民共和国大气污染防治法2000.9.1全国人民代表大会主席令第 32 号26.中华人民共和国环...

1、当您付费下载文档后,您只拥有了使用权限,并不意味着购买了版权,文档只能用于自身使用,不得用于其他商业用途(如 [转卖]进行直接盈利或[编辑后售卖]进行间接盈利)。
2、本站所有内容均由合作方或网友上传,本站不对文档的完整性、权威性及其观点立场正确性做任何保证或承诺!文档内容仅供研究参考,付费前请自行鉴别。
3、如文档内容存在违规,或者侵犯商业秘密、侵犯著作权等,请点击“违规举报”。

碎片内容

2025年危化企业安全生产标准化法律法规及其他要求清单

文森传品+ 关注
实名认证
内容提供者

一家传播文化教育的小店,资料丰富,随意挑选。

确认删除?
VIP
微信客服
  • 扫码咨询
会员Q群
  • 会员专属群点击这里加入QQ群
客服邮箱
回到顶部