电脑桌面
添加小米粒文库到电脑桌面
安装后可以在桌面快捷访问

会议服务管理体系文件

会议服务管理体系文件_第1页
1/21
会议服务管理体系文件_第2页
2/21
会议服务管理体系文件_第3页
3/21
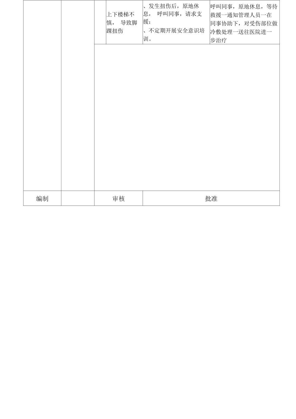
成都市中航物业管理有限责任公司文件名称会务部作业风险识别及应对方法编制部门品质管理部生效日期编号版本页码版共页编号标题内容说明目的保障各项目的会议服务工作法律规范、有序、安全地开展。适用范围适用于公司各项目会务部。程序要点一、会议服务的风险分析1物业使用带来的风险:电(扶)梯、楼梯、会议室内设施、 设备等,在使用过程中,因自身存在缺陷未被及时发现而导 致参会人员、会务人员受伤。2法律概念不清导致的风险:在个人财产保管、车辆停放安 全等方面,因物业使用人对责任主体意识不清,误将本应由 自己和公安机关承担的保管和安全责任强加给物业方,造成 不必要的资源消耗和责任纠纷。3会议服务过程的风险:因员 H操作不当导致人员受伤。4媒体舆论风险:因会议突发事件危机公关不力,导致的媒 体关注、消息扩散以及舆论压力。二、会务部风险源及防范措施序 号风险源应对措施应急处理流程插座接触不良、 线路老化、设备 故障造成短路, 导致起火或人 员触电1会议前注意检查设施、 设备运行情况;会议后复查 设施、设备是否完好; 联系工程部定期对会议室 线路、插座、设施、设备进 行检查,及时排除运行故障 和安全隐患;3不定期开展员 H安全意 识、初起火灾处置以及触电 突发事件应急的能力培训。初起火灾的处置:断开电源 一使用手持灭火器扑救一 通知管理人员一如有需要 拨打一陪同伤者就医一 现场清理人员触电的处置:断开电源 一拨打一通知管理人员 一陪同伤者就医一现场清 理参会人员、会务 人员突发不明 疾病对会务人员进行基本的急 救知识培训和演练。拔打一对发病人员实行简单且必要的急救措施一 通知管理人员一陪同病人 就医会务人员打水、 清洗、消毒杯具 时被烫伤1严格执行公司会务作业 指导文件;、配备医药箱(常备烫伤 药膏、创可贴、医用酒精、 纱布、棉签、绷带、胶布等);3不定期开展员 H安全意 识和烫伤急救处理知识的 培训。关闭水阀一冷水冲洗降温 至少分钟以上一通知管 理人员一创面上药一视情 况送医一现场清理参会人员集中 进入或紧急疏 散时,发生拥堵 导致摔伤或踩踏1会务人员维持秩序,做 好入场引导和人员疏散; 发现有人摔倒或被踩踏时, 立即疏散周围人群,查看伤 者情况并呼叫支援;3秩序维护人员配合会务 人员维持现场秩序;、不定期开展人员疏散应 急培训和演练。疏散周围人群一查看伤者 情况^呼叫同事支援^视 情况拨打一对外伤进行...

1、当您付费下载文档后,您只拥有了使用权限,并不意味着购买了版权,文档只能用于自身使用,不得用于其他商业用途(如 [转卖]进行直接盈利或[编辑后售卖]进行间接盈利)。
2、本站所有内容均由合作方或网友上传,本站不对文档的完整性、权威性及其观点立场正确性做任何保证或承诺!文档内容仅供研究参考,付费前请自行鉴别。
3、如文档内容存在违规,或者侵犯商业秘密、侵犯著作权等,请点击“违规举报”。

碎片内容

会议服务管理体系文件

确认删除?
VIP
微信客服
  • 扫码咨询
会员Q群
  • 会员专属群点击这里加入QQ群
客服邮箱
回到顶部