电脑桌面
添加小米粒文库到电脑桌面
安装后可以在桌面快捷访问

模糊综合评判matlab源程序

模糊综合评判matlab源程序_第1页
1/4
模糊综合评判matlab源程序_第2页
2/4
模糊综合评判matlab源程序_第3页
3/4
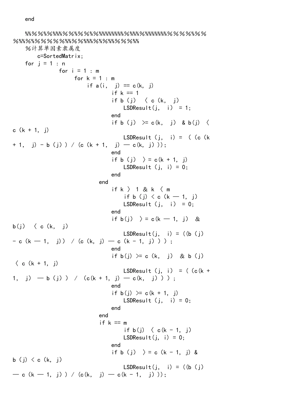
模糊综合评判 matlab 源程序2025-02-09 10:161.原理模糊综合评判方法即将评价目标看成是由多种因素组成的模糊集合(称为因素集 u),再设定这些因素所能选取的评审等级,组成评语的模糊集合(称为评判集 v),分别求出各单一因素对各个评审等级的归属程度(称为模糊矩阵),然后根据各个因素在评价目标中的权重分配,通过计算(称为模糊矩阵合成),求出评价的定量解值。它是应用模糊变换原理和最大隶属度原则,对各因素作综合评价的。其原理表示为:B=E×R式中 E={e1,e2,。.。 ,ei,。..,em},为模糊向量或称模糊变换器,是评价因素集 X={ x1,x2, ,xi, ,xm }的权重分配。式中 R 为评价因素 X={ x1,x2, ...,xi, ..。,xm }与评判集U={ u1,u2, ,ui, ,un }构成的模糊关系矩阵。 |R1| |r11 r12 ..。 r1m|R=|R2|= |r21 r22 .。。 r2m| | | | | |Rn | |rn2 rn2 .。. rnm|其中 n 为评价集合的个数,m 为评价因素(或评判指标)的个数。2。程序算法下面是采纳环境中的常用的超标加权法计算权重,使用“线性降半阶”函数计算隶属度的 matlab 程序,供各位参考。clear;clc;a=[48。37611111 26.33277778 819.1455556 334。5933333 1032.364444 262.3716667 2374。72222215.84 6。430384615 981。3157692 756。1965385 991.7353846 82。82846154 2535。69230870。7225 29。8525 895。5325 294.5875 1059.1875 462。9525 2724.5]; %a 为评价集标准值d=[43。49 28.05 737.98 391.12 1025。66 7。41 21342.61 1。82 920.75 636。41 1005。45 74.09 233028。66 8。51 774.99 322.78 1013。96 93.84 20013.01 1.95 897.53 614。44 889。87 123.27 220025.85 5.72 759。59 302。03 1001.96 76.15 19722 1.95 1161。68 1003.73 1077.06 110。1 30043。81 1。09 820。51 396.61 1004。74 37。04 20255.21 2。92 814.08 419.8 1005。8 31.49 20254.41 2.8 824.65 449.06 998。36 38.28 20473。01 1。58 1220。54 956.14 1244。75 3.91 30716.01 2.43 1791.61 2338。17 1278。08 30.87 43621。2 2.67 1160.54 821.29 1100.82 85。41 29426.61 7。3 865.57 389。31 1065。27 46.51 22449。82 3.77 1240。77 939.71 1165.24 177.19 324817。64 6。44 884.2 473。49 930.29 218.95 241726...

1、当您付费下载文档后,您只拥有了使用权限,并不意味着购买了版权,文档只能用于自身使用,不得用于其他商业用途(如 [转卖]进行直接盈利或[编辑后售卖]进行间接盈利)。
2、本站所有内容均由合作方或网友上传,本站不对文档的完整性、权威性及其观点立场正确性做任何保证或承诺!文档内容仅供研究参考,付费前请自行鉴别。
3、如文档内容存在违规,或者侵犯商业秘密、侵犯著作权等,请点击“违规举报”。

碎片内容

模糊综合评判matlab源程序

文森传品+ 关注
实名认证
内容提供者

一家传播文化教育的小店,资料丰富,随意挑选。

确认删除?
VIP
微信客服
  • 扫码咨询
会员Q群
  • 会员专属群点击这里加入QQ群
客服邮箱
回到顶部