电脑桌面
添加小米粒文库到电脑桌面
安装后可以在桌面快捷访问

高中数学 极限的四则运算素材 新人教版

高中数学 极限的四则运算素材 新人教版_第1页
1/12
高中数学 极限的四则运算素材 新人教版_第2页
2/12
高中数学 极限的四则运算素材 新人教版_第3页
3/12
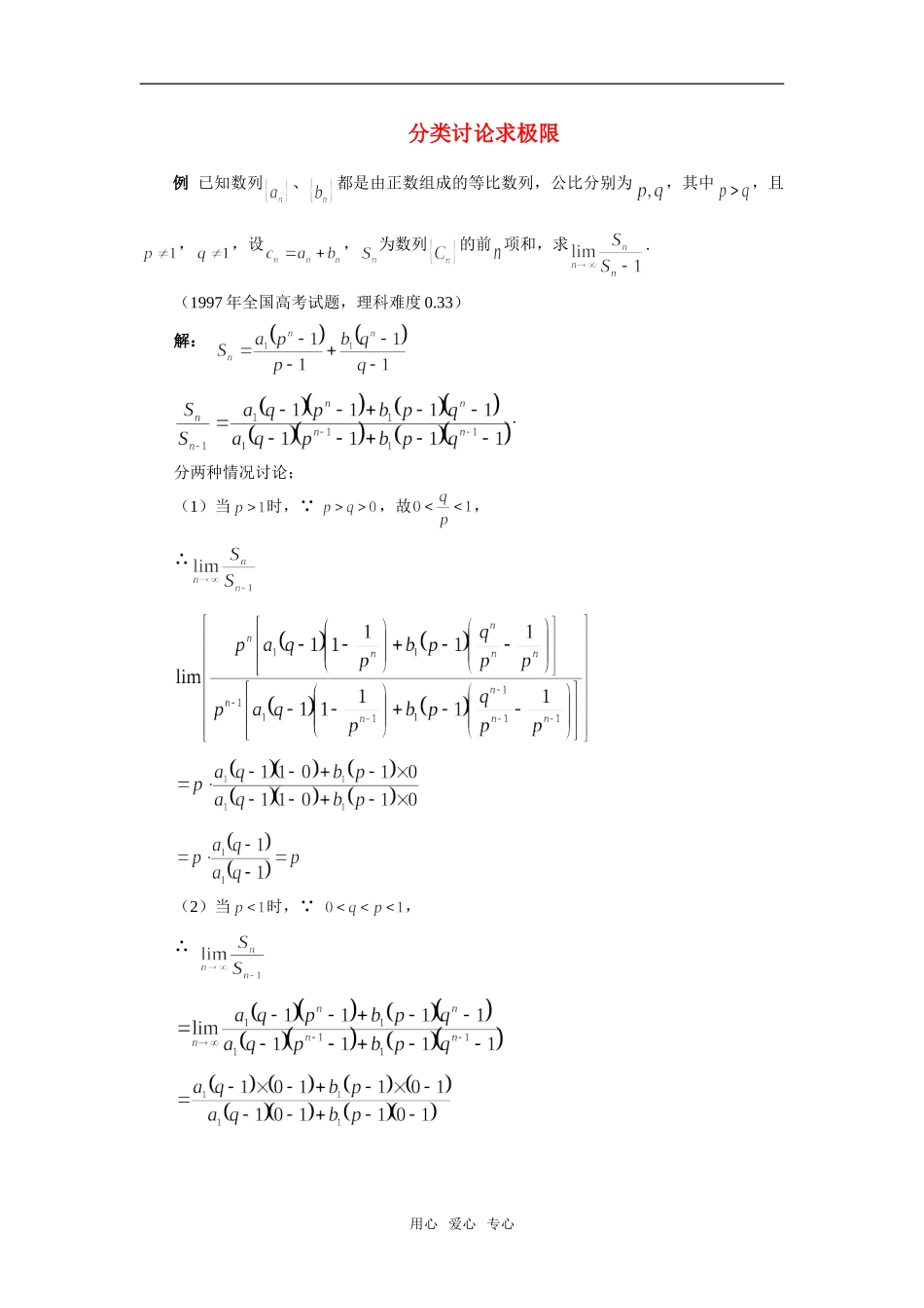
分类讨论求极限例 已知数列、都是由正数组成的等比数列,公比分别为,其中,且,,设,为数列的前 项和,求. (1997 年全国高考试题,理科难度 0.33)解: . 分两种情况讨论;(1)当时, ,故,∴(2)当时, ,∴ 用心 爱心 专心. 说明:该题综合考查了数列的基础知识、恒等变形的能力,分类讨论的数学思想方法和求极限的方法.自变量趋向无穷时函数的极限例 求下列极限:(1)(2)分析:第(1)题中,当 时,分子、分母都趋于无穷大,属于“”型,变形的一般方法是分子、分母同除以 x 的最高次幂,再应用极限的运算法则.第(2)题中,当时,分式与都趋向于∞,这种形式叫“∞-∞”型,变形的一般方法是先通分,变成“”型或“”型,再求极限.解:(1)(2)说明:“”型的式子求极限类似于数列极限的求法.无穷减无穷型极限求解例 求极限:用心 爱心 专心(1)(2)分析:含根式的函数求极限,一般要先进行变形,进行分子、分母有理化,再求极限.解:(1)原式(2)原式说明:当时,,因此.利用运算法则求极限 例 计算下列极限: (1); (2). (1992 年全国高考试题,文科难度 0.63) 解: (1)原式. 用心 爱心 专心 (2)原式. 说明:该题计算时,要先求和,再求所得代数式的极限,不能将只适用有限个数列的加、减、乘、除的数列极限的四则运算法则,照搬到无限个数列的加、减、乘、除,超出了法则的适用范围,下面的计算是错误的: (1)原式 (2)原式用二项式定理展开或逆用等比数列和公式化简求极限例 设,求.分析:把用二项式定理展开或逆用等比数列和公式即可求得.解:或:逆用等比数列求和公式:原式用心 爱心 专心说明:要注意 p 是与 n 无关的正整数,不是无限项,对某些分式求极限应先对式子进行必要的变形,使之成为便于求极限的形式,以利问题的解决,经常用到的技巧是分母、分子有理化或按二项式定理展开等等.零乘无穷型转化为无穷除无穷型例 求分析:当时,所求极限相当于型,需要设法化为我们熟悉的型.解: 说明:对于这种含有根号的型的极限,可采取分子有理化或分母有理化来实现.如本题是通过分子有理化,从而化为,即为型,也可以将分子、分母同除以 n 的最高次幂即,完成极限的计算.根据极限确定字母的范围例 已知,求实数 m 的取值范围.分析:这是一个已知极限的值求参数的范围问题,我们仍然从求极限入手来解决.解:于是,即.说明:在解题过程...

1、当您付费下载文档后,您只拥有了使用权限,并不意味着购买了版权,文档只能用于自身使用,不得用于其他商业用途(如 [转卖]进行直接盈利或[编辑后售卖]进行间接盈利)。
2、本站所有内容均由合作方或网友上传,本站不对文档的完整性、权威性及其观点立场正确性做任何保证或承诺!文档内容仅供研究参考,付费前请自行鉴别。
3、如文档内容存在违规,或者侵犯商业秘密、侵犯著作权等,请点击“违规举报”。

碎片内容

高中数学 极限的四则运算素材 新人教版

您可能关注的文档

文章天下+ 关注
实名认证
内容提供者

各种文档应有尽有

确认删除?
VIP
微信客服
  • 扫码咨询
会员Q群
  • 会员专属群点击这里加入QQ群
客服邮箱
回到顶部