电脑桌面
添加小米粒文库到电脑桌面
安装后可以在桌面快捷访问

第12讲-数学:积分学-

第12讲-数学:积分学-_第1页
1/5
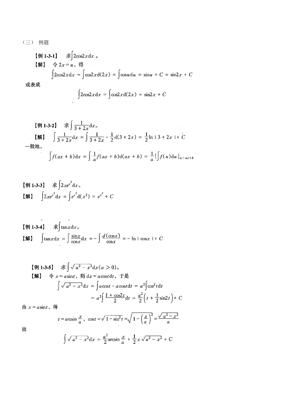
第12讲-数学:积分学-_第2页
2/5
第12讲-数学:积分学-_第3页
3/5
(三) 例题【例 1-3-7】 求[解]设 u = arctanx ,dv = xdx 、则,利用分部积分公式,得【例 1-3-8】 已知 f’ (x )=sec2x+ sin2x ,且 f (0) =, 则 f (x) 等于 (A) tanx +cos2x + (B) tanx –cos2x+(C) tanx – cos2x +2(D) tanx +cos2x +1由 f ( 0 ) =, 得 - + C =, C = 2 .故选( C )。【 解 】 设 cosx = t ,则 dt =-sinxdx ,且当 x = 0 时, t = 1 时;当 x = 时,t = 0 . 于是【解】 设 u = arcsinx , dv = dx ,则 du=, v = x 。代入分部积分公式,得【例 1-3-11】计算 .【 解 】 设=t, 则 x = , dx = td t,且当 x = 0 时, t = l ;当 x = 4 时,t =3 .于是二、反常积分 (一)两类反常积分的定义 1 .无穷限的反常积分若极限存在,则称此极限为 f ( x )在「 a ,+ 〕 上的反常积分,记作f(x)dx, 即这时,称反常积分f(x) dx 收敛;若上述极限不存在,则称反常积分f(x) dx 不存在或发散。类似地定义反常积分当且仅当反常积分都收敛时,定义反常积分2 .无界函数的反常积分若 f ( x )在( a ,b)上连续,而在点 a 的右邻域内无界,极限存在,则称此极限为 f( x )在( a ,b)上的反常积分,记作f(x) dx ,即这时,称反常积分f(x)dx 收敛 ·若 f ( x )在 【 a , b )上连续,而在点 b 的左邻域内无界,类似地定义反常积分(二)例题1. 计算于是2. 【 解 】 因为所以所求积分属无界函数的反常积分。按定义3. 下列反常积分中收敛的是易知其他三个积分发散,故选( C )。

1、当您付费下载文档后,您只拥有了使用权限,并不意味着购买了版权,文档只能用于自身使用,不得用于其他商业用途(如 [转卖]进行直接盈利或[编辑后售卖]进行间接盈利)。
2、本站所有内容均由合作方或网友上传,本站不对文档的完整性、权威性及其观点立场正确性做任何保证或承诺!文档内容仅供研究参考,付费前请自行鉴别。
3、如文档内容存在违规,或者侵犯商业秘密、侵犯著作权等,请点击“违规举报”。

碎片内容

第12讲-数学:积分学-

领读文化+ 关注
实名认证
内容提供者

传播文化,铸就未来

相关文档

相关标签

确认删除?
VIP
微信客服
  • 扫码咨询
会员Q群
  • 会员专属群点击这里加入QQ群
客服邮箱
回到顶部