电脑桌面
添加小米粒文库到电脑桌面
安装后可以在桌面快捷访问

高中数学:2.3 双曲线 素材 苏教版选修2—1

高中数学:2.3 双曲线 素材 苏教版选修2—1 _第1页
1/3
高中数学:2.3 双曲线 素材 苏教版选修2—1 _第2页
2/3
高中数学:2.3 双曲线 素材 苏教版选修2—1 _第3页
3/3
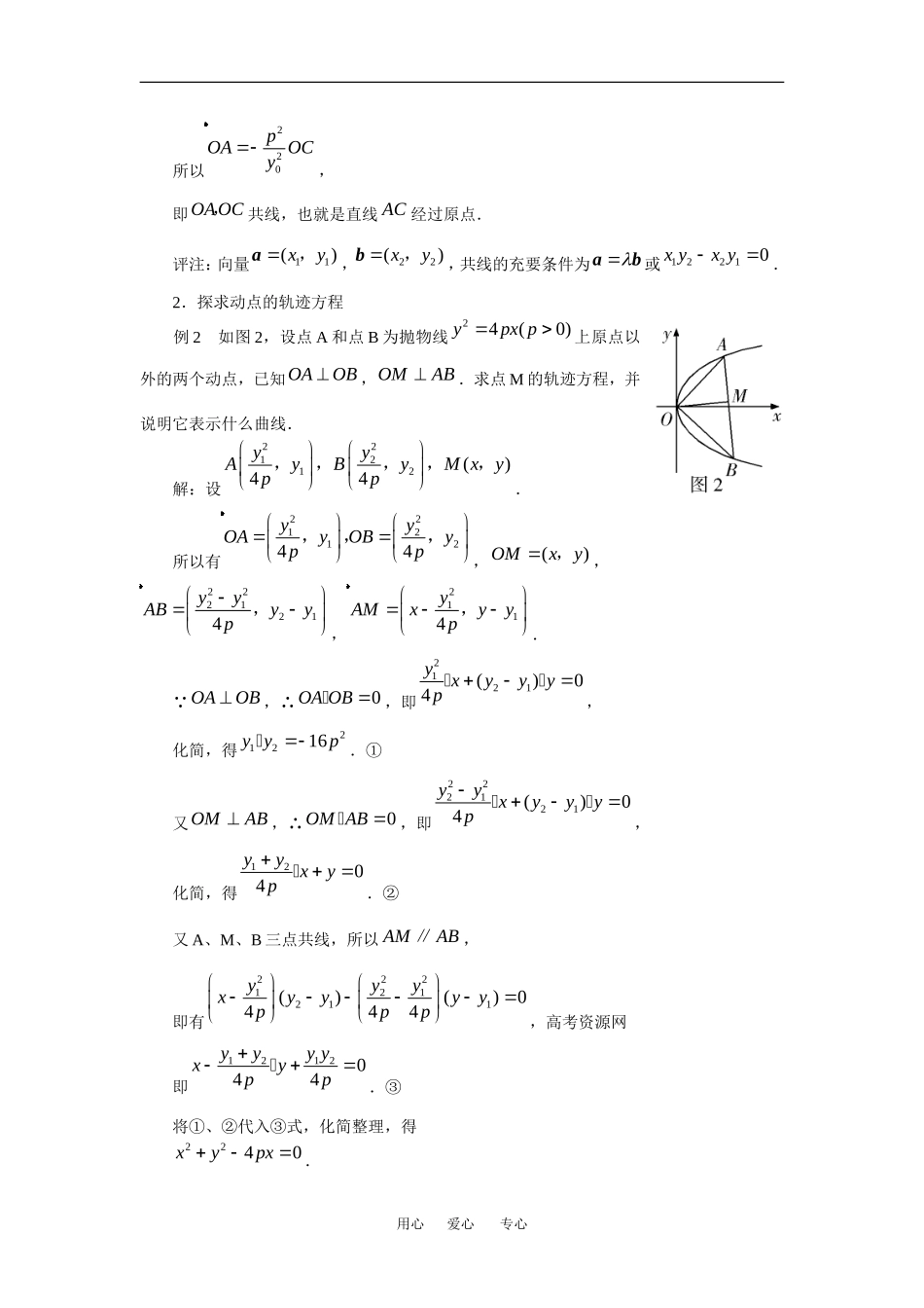
向量在抛物线中的应用 由于平面向量融数、形于一体,具有几何形式与代数形式的“双重身份”,使它成为中学数学知识的一个交汇点和联系多项内容的媒介.因此,向量的引入大大拓宽了我们解题的思路与方法,使它在研究许多问题时获得广泛的应用.利用平面向量这个工具,可以简捷、规范地处理数学中的许多问题.下面来介绍向量在抛物线中的应用. 1.解决共线问题 例 1 如图 1,设抛物线22(0)ypx p的焦点为 F,经过点 F的直线交抛物线于 A、B 两点,点 C 在抛物线的准线上,且 BCx∥轴,证明:直线 AC 经过原点. 证明:由抛物线方程22(0)ypx p,可得焦点02pF ,,02pOF�,,准线为2px . 令00()OBxy�,,A、F、B 共线, 则可设(1)OAOFOB�, 所以有00(1)(1)2OApxy�,, 由 BCx∥轴,可得02pOCy �,. 又由点 A 在抛物线上,得2200(1)2(1)2yppx , 点 B 在抛物线上, 012px  , 从而200042pypOAxx�,, 即322002ppOAyy�,. 而02pOCy �,,用心 爱心 专心 所以220pOAOCy�, 即OAOC�,共线,也就是直线 AC 经过原点. 评注:向量11()xy,a,22()xy,b,共线的充要条件为ab 或12210x yx y . 2.探求动点的轨迹方程 例 2 如图 2,设点 A 和点 B 为抛物线24(0)ypx p上原点以外的两个动点,已知OAOB,OMAB.求点 M 的轨迹方程,并说明它表示什么曲线. 解:设221212()44yyAyByM xypp,,,,,. 所以有22121244yyOAyOBypp�,,,,()OMxy�,,2221214yyAByyp�,,2114yAMxyyp�,. OAOB,∴0OA OB �,即2121()04yxyyyp, 化简,得21216y yp.① 又OMAB,∴0OM AB �,即222121()04yyxyyyp, 化简,得1204yyxyp.② 又 A、M、B 三点共线,所以 AMAB�∥, 即有222121211()()0444yyyxyyyyppp,高考资源网 即1212044yyy yxypp.③ 将①、②代入③式,化简整理,得 2240xypx .用心 爱心 专心 因为 A、B 是异于原点的点,所以0x...

1、当您付费下载文档后,您只拥有了使用权限,并不意味着购买了版权,文档只能用于自身使用,不得用于其他商业用途(如 [转卖]进行直接盈利或[编辑后售卖]进行间接盈利)。
2、本站所有内容均由合作方或网友上传,本站不对文档的完整性、权威性及其观点立场正确性做任何保证或承诺!文档内容仅供研究参考,付费前请自行鉴别。
3、如文档内容存在违规,或者侵犯商业秘密、侵犯著作权等,请点击“违规举报”。

碎片内容

高中数学:2.3 双曲线 素材 苏教版选修2—1

您可能关注的文档

文章天下+ 关注
实名认证
内容提供者

各种文档应有尽有

相关文档

确认删除?
VIP
微信客服
  • 扫码咨询
会员Q群
  • 会员专属群点击这里加入QQ群
客服邮箱
回到顶部