电脑桌面
添加小米粒文库到电脑桌面
安装后可以在桌面快捷访问

(江西专用)中考数学总复习 基础知识梳理 第1单元 数与式 1.5 二次根式课件-人教版初中九年级全册数学课件

(江西专用)中考数学总复习 基础知识梳理 第1单元 数与式 1.5 二次根式课件-人教版初中九年级全册数学课件(江西专用)中考数学总复习 基础知识梳理 第1单元 数与式 1.5 二次根式课件-人教版初中九年级全册数学课件(江西专用)中考数学总复习 基础知识梳理 第1单元 数与式 1.5 二次根式课件-人教版初中九年级全册数学课件
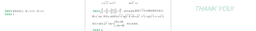
第一章 数与式第 5 课时 二次根式考纲考点了解二次根式、最简二次根式的概念及其加、减、乘、除运算法则,会用它们进行有关实数的简单四则运算 .二次根式的意义及有关运算,江西省最近五年中考只在 2014 年考查了一次, 2015 年、 2016 年中考没有单独命题,只是在其他知识的考查中涉及到了二次根式的相关知识,预测 2018 年二次根式相关知识的独立命题概率仍然较小,仍然在其它知识的解答题中考查二次根式的化简 .考情分析知识体系图要点梳理二次根式的定义 a a≥0最简二次根式混合运算:类比整式的运算法则进行计算 20≥aa a2aa性质运算00,abab ab0,0>aa abbb加减法:化简后把被开方数相同的二次根式合并0,0乘法:abab ab0,0除法:>aa abbb二次根式概念1.5.1 平方根、算术平方根与立方根1. 平方根:一个数 x 的平方等于 a ,那么 x 叫做 a 的平方根,记作 .2. 算术平方根:一个正数 x 的平方等于 a ,则 x 叫做 a 的算术平方根,记作 , 0 的算术平方根是 0.3. 立方根:一个数 x 的立方等于 a ,那么 x 叫做 a 的立方根 , 记作 .要点梳理aa3 a1.5.2 二次根式的有关概念1. 二次根式:一般地,我们把形如 (a≥0) 的式子叫做二次根式 .2. 二次根式 (a≥0) 中 , 当 a≥ 时 , 有意义 , 即二次根式有意义的条件是被开方数大于等于 0.3. 最简二次根式应满足的两个条件是:( 1 )被开方数不含分母;( 2 )被开方数中不含能开得尽方的因数或因式 .aaa要点梳理1.5.3 二次根式的性质    2210 .02.30,0 .400 .<0> ,aa aa aaaa aabab abbb abaa要点梳理1.5.4 二次根式的运算1. 加减法:先将二次根式进行化简,再将被开方数相同的二次根式进行合并 .2. 乘除法:3. 把分母中的根号化去的方法0,0 ;0,0 .=>abab abbb abaa  11;12.aaaababab要点梳理1.5.5 二次根式的估值根式估值时,一般先对根式平方,找出与平方后所得数字左右相邻的两个开得尽方的整数,并对其进行开方,就可以确定这个根式在哪两个整数之间 . 例如,估算 在哪两个整数之间时,先对 平方,找出与 7 左右相邻的两个开的尽方的整数 4 和 9 ,因为4<7<9 ,所以 ,即 .77479<<2...

1、当您付费下载文档后,您只拥有了使用权限,并不意味着购买了版权,文档只能用于自身使用,不得用于其他商业用途(如 [转卖]进行直接盈利或[编辑后售卖]进行间接盈利)。
2、本站所有内容均由合作方或网友上传,本站不对文档的完整性、权威性及其观点立场正确性做任何保证或承诺!文档内容仅供研究参考,付费前请自行鉴别。
3、如文档内容存在违规,或者侵犯商业秘密、侵犯著作权等,请点击“违规举报”。

碎片内容

(江西专用)中考数学总复习 基础知识梳理 第1单元 数与式 1.5 二次根式课件-人教版初中九年级全册数学课件

您可能关注的文档

文章天下+ 关注
实名认证
内容提供者

各种文档应有尽有

确认删除?
VIP
微信客服
  • 扫码咨询
会员Q群
  • 会员专属群点击这里加入QQ群
客服邮箱
回到顶部