电脑桌面
添加小米粒文库到电脑桌面
安装后可以在桌面快捷访问

(整理)东南大学高等数学期中期末试卷.VIP免费

(整理)东南大学高等数学期中期末试卷._第1页
1/22
(整理)东南大学高等数学期中期末试卷._第2页
2/22
(整理)东南大学高等数学期中期末试卷._第3页
3/22
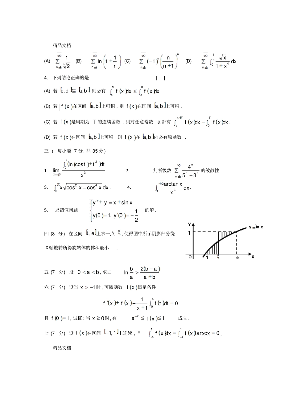
精品文档精品文档东南大学考试卷(A卷)课程名称高等数学(非电)考试学期04-05-2得分适用专业非电类各专业考试形式闭卷考试时间长度150分钟题号一二三四五六七得分一.填空题(每小题4分,共20分)1.函数xxf11的间断点是第类间断点.2.已知xF是xf的一个原函数,且21xxxFxf,则xf.3.xxxxxdee1112005.4.设tuuxfxtdd10sin14,则0f.5.设函数01d23xttxfxx,则当x时,xf取得最大值.二.单项选择题(每小题4分,共16分)1.设当0xx时,xx,都是无穷小0x,则当0xx时,下列表达式中不一定为无穷小的是[](A)xx2(B)xxx1sin22(C)xx1ln(D)xx2.曲线211arctane212xxxxyx的渐近线共有[](A)1条(B)2条(C)3条(D)4条3.下列级数中收敛的级数是[]学号姓名密封线精品文档精品文档(A)121nn(B)111lnnn(C)nnnnn111(D)1104d1nnxxx4.下列结论正确的是[](A)若badc,,,则必有badcxxfxxfdd.(B)若xf在区间ba,上可积,则xf在区间ba,上可积.(C)若xf是周期为T的连续函数,则对任意常数a都有TTaaxxfxxf0dd.(D)若xf在区间ba,上可积,则xf在ba,内必有原函数.三.(每小题7分,共35分)1.3020dcoslnlimxtttxx.2.判断级数1354nnnn的敛散性.3.xxxxdcoscos042.4.13darctanxxx.5.求初值问题210,10sinyyxxyy的解.四.(8分)在区间e,1上求一点,使得图中所示阴影部分绕x轴旋转所得旋转体的体积最小.五.(7分)设ba0,求证baabab2ln.六.(7分)设当1x时,可微函数xf满足条件0d110xttfxxfxf且10f,试证:当0x时,有1exfx成立.七.(7分)设xf在区间1,1上连续,且0dtand1111xxxfxxf,1e1XOYxyln精品文档精品文档证明在区间1,1内至少存在互异的两点21,,使021ff.04-05-2高等数学(非电)期末试卷答案及评分标准05.1.14一.填空题(每小题4分,共20分)1.0,一;2.21xCx;3.1e4;4.1;5.343.二.单项选择题(每小题4分,共16分)1.A;2.B;3.D;4.C.三.(每小题7分,共35分)1.原式=分分分261)2(1coslim3131)3(3coslnlim20220xxxxxxx2.分515453153154lim354354limlim11111nnnnnnnnnnnnnaa由比值法知原级数收敛.分23.原式=分分分222dcossin3dcossin2200xxxxxx4.原式分31darctan2112212xxxxx=分分2212d111218122xxx5.对应的齐次方程的通解为分2sincos21xCxCy非齐次方程xyy的一个特解为分11xy,非齐次方程xyysin的一个特解为精品文档精品文档分1cos22xxy,原方程的通解为xxxxCxCycos2sincos21)1(分,利用初值条件可求得1,121CC,原问题的解为分2cos2sincosxxxxxy四.(8分)0e),1(e2,01ln223ln4ln2e2ln2ln2ln2ln2)dln1(2dln212122e212e212VtttVttttttxxxxxxxxxxxxxxtVtttt且分得分令分分因此21et是tV在e,1上的唯一的极小值点,再由问题的实际意义知必存在最小体积,故21e是最小值点.分1五.(7分)设tab,原不等式等价于1,112lntttt,即等价于分31,012ln1tttttf分101,11ln,01ftttff1,0112ttttf,且等号当且仅当1t时成立分1因此tf单增,1,01tftf从而tf单增,1,01tftf,原不等式得证.分2六.(7分)由题设知10f,分1所给方程可变形xttfxfxxfx00d11两端对x求导并整理得分1021xfxxfx精品文档精品文档这是一个可降阶的二阶微分方程,可用分离变量法求得分21exCxfx由于10f,得xfxxfCx,01e,1单减,而,10f所以当0x时,)1(1分xf,对01exxfx在x,0上进行积分分2ede1d1e00-0xxtxttttfxf七.(7分)记xttfxF1d,则xF在1,1上可导,且分2011FF若xF在1,1内无零点,不妨设1,1,0xxF0dsecdsectan)(dtandtan0112112111111xxxFxxxFxxFxFxxxxf此矛盾说明xF在1,1内至少存在一个零点分2,0x对xF在1,,,100xx上分别使用Rolle定理知存在1,,,10201xx,使得,021FF即分3021ff精品文档精品文档东南大学考试卷(A卷)课程名称工科数学分析考试学期04-05-2(期末)得分适用专业上课各专业考试形式闭考试时间长度150分钟题号一二三四五六七得分学号姓名精品文档精品文档4.下列结论正确的是[](A)若],[],[dcba,则必有badcdxxfdxxf)()((B)若|)(|xf在区间],[ba上可积,则)(xf在区间],[ba上可积(C)若)(xf是周期为T的连续函数,则对任意常数a都有TTaadxxfdxxf0)()(一.填空题(每小题4分,共20分)1.设121xy,则)10(y(1)=。2.设xtdtduu0sin141,则)0(f。3.设xxxdttxf23)0(11)(,则当x时,)(xf取得最大值。4.设)(xf满足1)(1)(xfxxf,则)(xf=。5.已知)(xF是)(xf的一个原函数,且2...

1、当您付费下载文档后,您只拥有了使用权限,并不意味着购买了版权,文档只能用于自身使用,不得用于其他商业用途(如 [转卖]进行直接盈利或[编辑后售卖]进行间接盈利)。
2、本站所有内容均由合作方或网友上传,本站不对文档的完整性、权威性及其观点立场正确性做任何保证或承诺!文档内容仅供研究参考,付费前请自行鉴别。
3、如文档内容存在违规,或者侵犯商业秘密、侵犯著作权等,请点击“违规举报”。

碎片内容

(整理)东南大学高等数学期中期末试卷.

确认删除?
VIP
微信客服
  • 扫码咨询
会员Q群
  • 会员专属群点击这里加入QQ群
客服邮箱
回到顶部