电脑桌面
添加小米粒文库到电脑桌面
安装后可以在桌面快捷访问

(完整版)高中指数函数与对数函数知识点总结及对应的练习题-VIP专享VIP免费

(完整版)高中指数函数与对数函数知识点总结及对应的练习题-_第1页
1/7
(完整版)高中指数函数与对数函数知识点总结及对应的练习题-_第2页
2/7
(完整版)高中指数函数与对数函数知识点总结及对应的练习题-_第3页
3/7
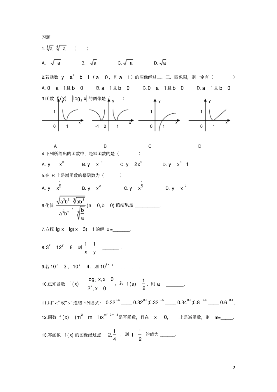
1基本初等函数知识点1.指数(1)n次方根的定义:若nxa,则称x为a的n次方根,“n”是方根的记号。在实数范围内,正数的奇次方根是一个正数,负数的奇次方根是一个负数,0的奇次方根是0;正数的偶次方根是两个绝对值相等符号相反的数,0的偶次方根是0,负数没有偶次方根。(2)方根的性质:①nnaa②当n是奇数时,aann;当n是偶数时,)0()0(||aaaaaann(3)分数指数幂的意义:)1,,,0(*nNnmaaanmnm,)1,,,0(11*nNnmaaaanmnmnm(4)实数指数幂的运算性质:(1)_______(0,,)rsaaarsR(2)_______(0,,)rsaaarsR(3)_______(0,,)sraarsR(4)________(,0,)rababrR2.对数(1)对数的定义:一般地,如果Nax)1,0(aa,那么数x叫做以.a为底..N的对数,记作:Nxalog(a—底数,N—真数,Nalog—对数式)常用对数:以10为底的对数______;自然对数:以无理数71828.2e为底的对数______.(2)指数式与对数式的关系:__________xaN(0a,且1a,0N)(3)对数的运算性质:如果0a,且1a,0M,0N,那么:①Ma(log·)N____________________;②NMalog__________________________;③lognaM_________________________)(Rn.注意:换底公式abbccalogloglog(0a,且1a;0c,且1c;0b).(4)几个小结论:①log_____nnab;②log______naM;③log_______nmab;④loglog____abba(5)对数的性质:2负数没有对数;log1____;log_____aaa.3.指数函数及其性质(1)指数函数的概念:一般地,函数)1,0(aaayx且叫做指数函数,其中x是自变量,函数的定义域为R.(2)指数函数的图像和性质a>100时,y>1当x<0时,00时,014.对数函数(1)对数函数的概念:函数0(logaxya,且)1a叫做对数函数,其中x是自变量,函数的定义域是(0,+∞).(2)对数函数的图像和性质:a>101时,y>0当01时,y<0当005.幂函数(1)幂函数定义:一般地,形如xy()R的函数称为幂函数,其中为常数.(2)幂函数性质归纳:①所有的幂函数在(0,+∞)都有定义,并且图像都过点(1,1),不过第四象限;②0时,幂函数的图像通过原点,并且在区间(0,)上是增函数;③0时,幂函数的图像在区间),0(上是减函数.与x轴、y轴没有交点;④当为奇数时,xy为奇函数;当为偶数时,xy为偶函数。3习题1.36aa()A.aB.aC.aD.a2.若函数1xyab(0a,且1a)的图像经过二、三、四象限,则一定有()A.01a且0bB.1a且0bC.01a且0bD.1a且0b3.函数2()logfxx的图像是()ABCD4.下列所给出的函数中,是幂函数的是()A.3yxB.3yxC.32yxD.31yx5.在R上是增函数的幂函数为()A.12yxB.2yxC.13yxD.2yx6.化简1142332243(0,0)abababbaba的结果是__________.7.方程lglg(3)1xx的解x=_______.8.3128xy,则11______xy.9.若103x,104y,则210xy________.10.已知函数2log,0()2,0xxxfxx,若1()2fa,则______a.11.用“<”或“>”连结下列各式:0.60.50.50.50.40.40.32____0.32;0.32____0.34;0.8____0.6.12.函数2223()(1)mmfxmmx是幂函数,且在0,x上是减函数,则m=_____.13.幂函数()fx的图像经过点12,4,则12f的值为______.yx011yx011-1yx011yx011414.函数22212xxy的递增区间是___________.15.计算:230.5207103720.12392748;1244839(log3log3)(log2log2)log3216.设a>0,xxeaaexf)(是R上的偶函数.(1)求a的值;(2)证明:)(xf在,0上是增函数17.设函数)(log)(2xxbaxf且12log)2(,1)1(2ff(1)求a,b的值;(2)当2,1x时,求)(xf最大值5指数函数、对数函数测试题答案一、1、A;2、D;3、D;4、A;5、A;6、C;7、B;8、C;9、D;10、C;11、D;12、D;13、A。二、14、a<b<c;15、a=0;16、x>0;17、log1.11.0<log0.11.1;18、1/4。19、44;20、1.三、21、...

1、当您付费下载文档后,您只拥有了使用权限,并不意味着购买了版权,文档只能用于自身使用,不得用于其他商业用途(如 [转卖]进行直接盈利或[编辑后售卖]进行间接盈利)。
2、本站所有内容均由合作方或网友上传,本站不对文档的完整性、权威性及其观点立场正确性做任何保证或承诺!文档内容仅供研究参考,付费前请自行鉴别。
3、如文档内容存在违规,或者侵犯商业秘密、侵犯著作权等,请点击“违规举报”。

碎片内容

(完整版)高中指数函数与对数函数知识点总结及对应的练习题-

确认删除?
VIP
微信客服
  • 扫码咨询
会员Q群
  • 会员专属群点击这里加入QQ群
客服邮箱
回到顶部