电脑桌面
添加小米粒文库到电脑桌面
安装后可以在桌面快捷访问

(福建专用)高考数学一轮复习 课时规范练27 数系的扩充与复数的引入 理 新人教A-新人教A高三数学试题VIP免费

(福建专用)高考数学一轮复习 课时规范练27 数系的扩充与复数的引入 理 新人教A-新人教A高三数学试题_第1页
1/3
(福建专用)高考数学一轮复习 课时规范练27 数系的扩充与复数的引入 理 新人教A-新人教A高三数学试题_第2页
2/3
(福建专用)高考数学一轮复习 课时规范练27 数系的扩充与复数的引入 理 新人教A-新人教A高三数学试题_第3页
3/3
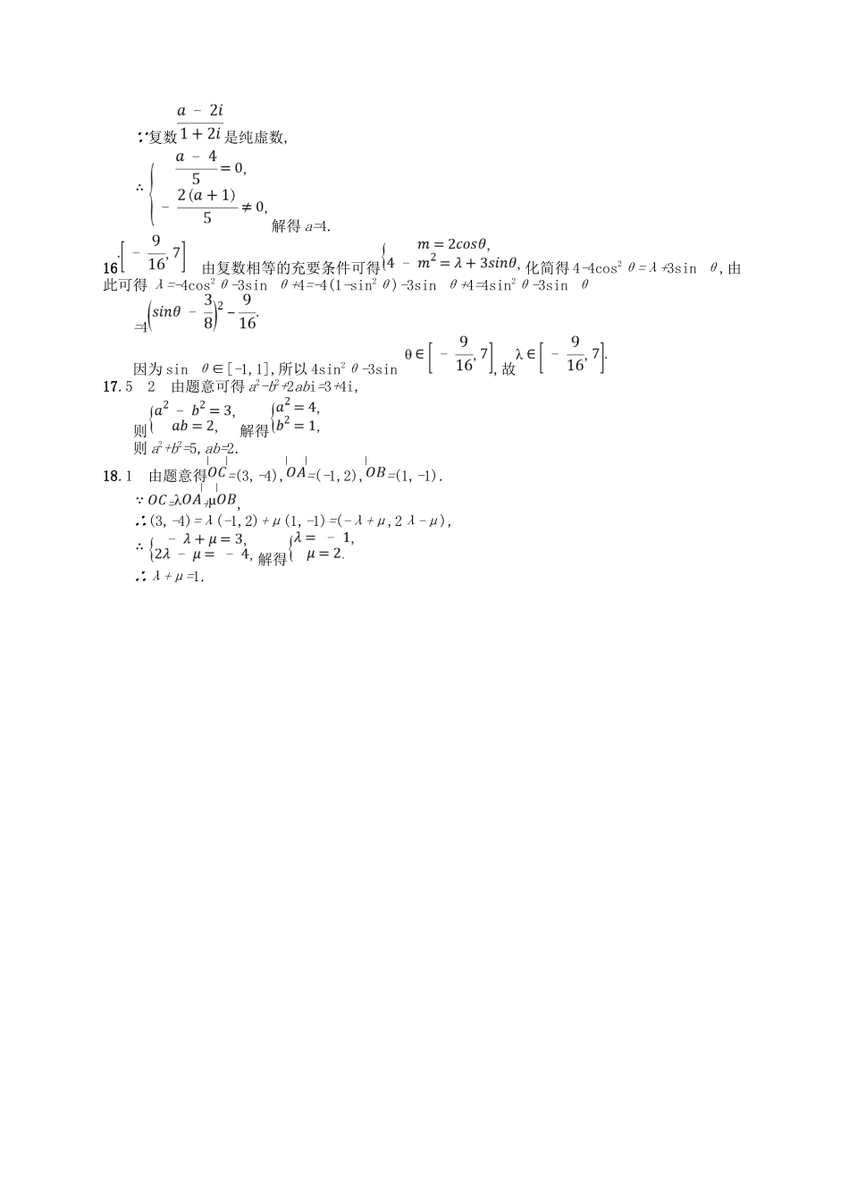
课时规范练27数系的扩充与复数的引入一、基础巩固组1.已知复数z=(m+3)+(m-1)i在复平面内对应的点在第四象限,则实数m的取值范围是()A.(-3,1)B.(-1,3)C.(1,+∞)D.(-∞,-3)2.(2017北京,理2)若复数(1-i)(a+i)在复平面内对应的点在第二象限,则实数a的取值范围是()A.(-∞,1)B.(-∞,-1)C.(1,+∞)D.(-1,+∞)3.设(1+i)x=1+yi,其中x,y是实数,则|x+yi|=()A.1B.C.D.24.若复数z=1+i,为z的共轭复数,则下列结论正确的是()A.=-1-iB.=-1+iC.||=2D.||=5.(2017河北武邑中学一模)若复数z满足(3-4i)z=|4+3i|,则z的虚部为()A.-4B.-C.D.46.(2017辽宁大连一模,理1)已知复数z=1+2i,则z·=()A.5B.5+4iC.-3D.3-4i7.(2017辽宁沈阳一模)已知复数=A+Bi(m,A,B∈R),且A+B=0,则m的值是()A.B.C.-D.2导学号〚21500540〛8.设z=1+i,则+z2等于()A.1+iB.-1+iC.-iD.-1-i9.(2017江苏,2)已知复数z=(1+i)(1+2i),其中i是虚数单位,则z的模是.10.若复数(a+i)2在复平面内对应的点在y轴负半轴上,则实数a的值是.11.(2017江苏无锡一模,2)若复数z满足z+i=,其中i为虚数单位,则|z|=.12.(2017天津,理9)已知a∈R,i为虚数单位,若为实数,则a的值为.二、综合提升组13.(2017河北衡水中学三调,理1)已知复数z满足iz=,则复数z在复平面内对应的点在()A.第一象限B.第二象限C.第三象限D.第四象限14.若z=1+2i,则=()A.1B.-1C.iD.-i15.(2017江苏南京一模,2)若复数(i是虚数单位)是纯虚数,则实数a的值为.16.若复数z1,z2满足z1=m+(4-m2)i,z2=2cosθ+(λ+3sinθ)i(m,λ,θ∈R),并且z1=z2,则λ的取值范围是.三、创新应用组17.(2017浙江,12)已知a,b∈R,(a+bi)2=3+4i(i是虚数单位),则a2+b2=,ab=.18.已知复数z1=-1+2i,z2=1-i,z3=3-4i,它们在复平面上对应的点分别为A,B,C,O为坐标原点,若=λ+μ(λ,μ∈R),则λ+μ的值是.导学号〚21500541〛课时规范练27数系的扩充与复数的引入1.A要使复数z在复平面内对应的点在第四象限,应满足解得-3

1、当您付费下载文档后,您只拥有了使用权限,并不意味着购买了版权,文档只能用于自身使用,不得用于其他商业用途(如 [转卖]进行直接盈利或[编辑后售卖]进行间接盈利)。
2、本站所有内容均由合作方或网友上传,本站不对文档的完整性、权威性及其观点立场正确性做任何保证或承诺!文档内容仅供研究参考,付费前请自行鉴别。
3、如文档内容存在违规,或者侵犯商业秘密、侵犯著作权等,请点击“违规举报”。

碎片内容

(福建专用)高考数学一轮复习 课时规范练27 数系的扩充与复数的引入 理 新人教A-新人教A高三数学试题

文章天下+ 关注
实名认证
内容提供者

各种文档应有尽有

相关文档

确认删除?
微信客服
  • 扫码咨询
会员Q群
  • 会员专属群点击这里加入QQ群